Additional Questions
Question 1.
Prove that the sum of the intercepts on the co-ordinate axes of any tangent to the curve $x=a \cos ^4 \theta, y=a$ $\sin ^4 \theta, 0<\theta<\frac{\pi}{2}$ is equal to a.
Solution:
Take any point ' ${ }^{\prime}$ ' as $\left(a \cos ^4 \theta, a \sin ^4 \theta\right)$.
Now $\frac{d x}{d \theta}=-4 a \cos ^3 \theta \sin \theta$
and $\frac{d y}{d \theta}=4 a \sin ^3 \theta \cos \theta$
.png)
$
\therefore \frac{d y}{d x}=-\frac{\sin ^2 \theta}{\cos ^2 \theta}
$
i.e., slope of the tangent at ' $\theta$ ' is $=-\frac{\sin ^2 \theta}{\cos ^2 \theta}$
Equation of the tangent at ' $\theta$ ' is
$
\begin{aligned}
\left(y-a \sin ^4 \theta\right) & =-\frac{\sin ^2 \theta}{\cos ^2 \theta}\left(x-a \cos ^4 \theta\right) \\
\text { or } x \sin ^2 \theta+y \cos ^2 \theta & =a \sin ^2 \theta \cos ^2 \theta \\
\frac{x}{a \cos ^2 \theta}+\frac{y}{a \sin ^2 \theta} & =1
\end{aligned}
$
i.e., sum of the intercepts $=a \cos ^2 \theta+a \sin ^2 \theta=a$
Question 2.
Find the equations of a normal to $y=x^3-3 x$ that is parallel to $2 x+18 y-9=0$.
Solution:
Let $\left(\mathrm{x}_1, \mathrm{y},\right)$ be a point on the curve
$\begin{aligned} y & =x^3-3 x ; \frac{d y}{d x}=3 x^2-3 \\ \frac{d y}{d x} \text { at }\left(x_1, y_1\right) & =3 x_1^2-3=m=\text { Slope of the tangent } \\ \therefore \text { Slope of the normal } & =\frac{-1}{m}=\frac{-1}{3 x_1^2-3}=m_1\end{aligned}$
The given line is $2 x+18 y-9=0$
$
\begin{aligned}
2+18 \frac{d y}{d x} & =0 \\
\frac{d y}{d x} & =\frac{-2}{18}=\frac{-1}{9}
\end{aligned}
$
Slope of the line is $\frac{-1}{9}=m_2$
It is given that the normal is parallel to the line $\Rightarrow \mathrm{m}_1=\mathrm{m}_2$
$
\begin{aligned}
& \text { i.e., } \begin{aligned}
\frac{-1}{3 x_1^2-3} & =\frac{-1}{9} \Rightarrow-3 x_1^2+3=-9 \\
3 x_1^2 & =12 \Rightarrow x_1^2=4 \Rightarrow x_1=\pm 2 \\
\text { at } x_1=+2, y_1 & =(2)^3-3(2)=8-6=2 \\
\text { at } x_1=-2, y_1 & =(-2)^3-3(-2)=-8+6=-2
\end{aligned}
\end{aligned}
$
So, the points are $(2,2)$ and $(--2,-2)$
(i)
$
\begin{aligned}
\text { Slope of the normal } & =\frac{-1}{9} \\
\text { Point } & =(2,2)
\end{aligned}
$
Equation of the normal is $y-2=\frac{-1}{9}(x-2)$
$
\begin{aligned}
9 y-18 & =-x+2 \\
x+9 y-20 & =0
\end{aligned}
$
(ii) Slope of the normal $=\frac{-1}{9}$
$
\text { Point }=(-2,-2)
$
Equation of the normal is $y+2=\frac{-1}{9}(x+2)$
$
\begin{aligned}
& 9 y+18=-x-2 \\
& x+9 y+20=0
\end{aligned}
$
Question 3.
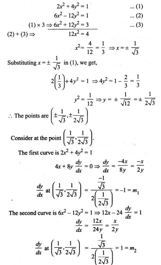
Prove that the curves $2 x^2+4 y^2=1$ and $6 x^2-12 y^2=1$ cut each other at right angles.
Solution:
Solving the given two equations,
.png)
$
m_1 m_2=(-1)(1)=-1
$
$\Rightarrow$ the two curves cut orthogonally at $\left(\frac{1}{\sqrt{3}}, \frac{1}{2 \sqrt{3}}\right)$
Similarly it can be proved at the other points also.
Question 4.
Show that the equation of the normal to the curve $x=a \cos ^3 \theta, y=a \sin ^3 \theta$ at ' $\theta$ ' is $x \cos \theta-y \sin \theta=a$ $\cos 2 \theta$
Solution:
$
\begin{aligned}
x & =a \cos ^3 \theta \\
\frac{d x}{d \theta} & =a\left[3 \cos ^2 \theta\right](-\sin \theta)=-3 a \cos ^2 \theta \sin \theta \\
y & =a \sin ^3 \theta \\
\frac{d y}{d \theta} & =a\left[3 \sin ^2 \theta\right] \cos \theta=3 a \sin ^2 \theta \cos \theta \\
\frac{d y}{d x} & =\frac{\frac{d y}{d \theta}}{\frac{d x}{d \theta}}=\frac{3 a \sin ^2 \theta \cos \theta}{-3 a \cos ^2 \theta \sin \theta}=-\frac{\sin \theta}{\cos \theta} \\
\frac{d y}{d x} \text { at } \theta & =-\frac{\sin \theta}{\cos \theta}=m=\text { Slope of the tangent }
\end{aligned}
$
Slope of the normal $=\frac{-1}{m}=\frac{\cos \theta}{\sin \theta}$. Point $=\left(x_1, y_1\right)=\left(a \cos ^3 \theta, a \sin ^3 \theta\right)$
So, equation of the normal is
$
y-a \sin ^3 \theta=\frac{\cos \theta}{\sin \theta}\left(x-a \cos ^3 \theta\right)
$
i.e. $y \sin \theta-a \sin ^4 \theta=x \cos \theta-a \cos ^4 \theta$
$\mathrm{x} \cos \theta-\mathrm{y} \sin \theta=\mathrm{a} \cos ^4 \theta-\mathrm{a} \sin ^4 \theta$
i.e.x $\cos \theta-\mathrm{y} \sin \theta=\mathrm{a}\left[\cos ^2 \theta+\sin ^2 \theta\right]\left[\cos ^2 \theta-\sin ^2 \theta\right]$
$=\mathrm{a}[\cos 2 \theta]$
So, the equation of the normai is $\mathrm{x} \cos \theta-\mathrm{y} \sin \theta=\mathrm{a} \cos 2 \theta$
Question 5.
If the curve $y^2=x$ and $x y=k$ are orthogonal, then prove that $8 k^2=1$.
Solution:
$
\mathrm{y}^2=\mathrm{x}, \mathrm{xy}=\mathrm{k}
$
Solving the two equations, we get, $\left(y^2\right)(y)=k$
$
\begin{aligned}
& y^3=\mathrm{k} \\
& \therefore \text { The point of intersection is }\left(k^{2 / 3}, k^{1 / 3}\right) \\
& \qquad \begin{aligned}
y^2=x \Rightarrow 2 y \frac{d y}{d x} & =1 \Rightarrow \frac{d y}{d x}=\frac{1}{2 y} \\
\frac{d y}{d x} \text { at }\left(k^{2 / 3}, k^{1 / 3}\right) & =\frac{1}{2 k^{\frac{1}{3}}}=m_1 \\
x y & =k \\
x \frac{d y}{d x}+y & =0 \Rightarrow \frac{d y}{d x}=\frac{-y}{x} \\
\frac{d y}{d x} \text { at }\left(k^{2 / 3}, k^{1 / 3}\right) & =\frac{-k^{1 / 3}}{k^{2 / 3}}=m_2
\end{aligned}
\end{aligned}
$
Since the curves cut orthogonally, $m_1 m_2=-1$
$
\Rightarrow\left(\frac{1}{2 k^{\frac{1}{3}}}\right)\left(\frac{-k^{1 / 3}}{k^{2 / 3}}\right)=-1 \Rightarrow \frac{1}{2 k^{2 / 3}}=1
$
So, $k^{2 / 3}=\frac{1}{2}$
cubing on both sides, $\left(k^{2 / 3}\right)^3=\left(\frac{1}{2}\right)^3$
$
\text { i.e., } k^2=\frac{1}{8} \text { (or) } 8 k^2=1
$