Text Book Back Questions and Answers - Chapter 7 - Chemical Kinetics - 12th Chemistry Guide Samacheer Kalvi Solutions
Updated On 26-08-2025 By Lithanya
You can Download the Text Book Back Questions and Answers - Chapter 7 - Chemical Kinetics - 12th Chemistry Guide Samacheer Kalvi Solutions with expert answers for all chapters. Perfect for Tamil & English Medium students to revise the syllabus and score more marks in board exams. Download and share it with your friends
Share this to Friend on WhatsApp
Chemical Kinetics
Text BookEvalution
I. Choose the correct answer.
Question 1.
For a first order reaction $\mathrm{A} \rightarrow \mathrm{B}$ the rate constant is $\mathrm{x} \min ^{-1}$. If the initial concentration of $\mathrm{A}$ is 0.01 $\mathrm{M}$, the concentration of $\mathrm{A}$ after one hour is given by the expression.
(a) $0.01 \mathrm{e}^{-\mathrm{x}}$
(b) $1 \times 10^{-2}\left(1-\mathrm{e}^{-60 \mathrm{x}}\right)$
(c) $\left(1 \times 10^{-2}\right) \mathrm{e}^{-60 \mathrm{x}}$
(d) none of these
Answer:
(c) $\left(1 \times 10^{-2}\right) \mathrm{e}^{-60 \mathrm{x}}$
Solutions:
$
\begin{aligned}
& \mathrm{k}=\left(\frac{2.303}{\mathrm{t}}\right) \log \left(\frac{\left[\mathrm{A}_0\right]}{[\mathrm{A}]}\right) \\
& \mathrm{k}=\left(\frac{1}{\mathrm{t}}\right) \ln \left(\frac{\left[\mathrm{A}_0\right]}{[\mathrm{A}]}\right) \\
& \mathrm{e}^{\mathrm{kt}}=\left(\frac{\left[\mathrm{A}_0\right]}{[\mathrm{A}]}\right) \\
& {[\mathrm{A}]=\left[\mathrm{A}_0\right] \mathrm{e}^{-\mathrm{kt}}}
\end{aligned}
$
In this case
$
\begin{aligned}
& =1 \times 10^{-2} \mathrm{M} \\
& \mathrm{t}=1 \text { hour }=60 \mathrm{~min} \\
& {[\mathrm{~A}]=1 \times 10^{-2}\left(\mathrm{e}^{-60 \mathrm{x}}\right)} \\
&
\end{aligned}
$
Question 2.
A zero order reaction $\mathrm{X} \rightarrow$ Product, with an initial concentration $0.02 \mathrm{M}$ has a half life of $10 \mathrm{~min}$. If one starts with concentration $0.04 \mathrm{M}$, then the half life is
(a) $10 \mathrm{~s}$
(b) $5 \mathrm{~min}$
(c) $20 \mathrm{~min}$
(d) cannot be predicted using the given information
Answer:
(c) $20 \mathrm{~min}$
Solutions:
$
\begin{aligned}
& \text { for } n \neq 1 \quad t_{1 / 2}=\frac{2^{n-1}-1}{(n-1) k\left[A_0\right]^{n-1}} \\
& \text { for } n=0 \quad t_{1 / 2}=\frac{1}{2 k\left[A_0\right]^{-1}} \\
& t_{1 / 2}=\frac{\left[A_0\right]}{2 k} \\
& t_{1 / 2}=\propto\left[A_0\right]
\end{aligned}
$
Given,
$
\begin{aligned}
& {\left[\mathrm{A}_0\right]=0.02 \mathrm{M} ; \mathrm{t}_{1 / 2}=10 \mathrm{~min}} \\
& {\left[\mathrm{~A}_0\right]=0.04 \mathrm{M} ; \mathrm{t}_{1 / 2}=?}
\end{aligned}
$
Substitute in (1)
$10 \mathrm{~min} ? 0.02 \mathrm{M}$
$
\mathrm{t}_{1 / 2} \propto 0.04 \mathrm{M}
$
Dividing Eq.(3) by Eq. (2) we get,
$
\begin{aligned}
& \frac{t^{1 / 2}}{10 \min }=\frac{0.04 M}{0.02 M} \\
& \mathrm{t}_{1 / 2}=2 \times 10 \mathrm{~min}=20 \mathrm{~min}
\end{aligned}
$
Question 3.
Among the following graphs showing variation of rate constant with temperature (T) for a reaction, the one that exhibits Arrhenius behavior over the entire temperature range is
.png)
Answer:
.png)
Solution:
$
\begin{aligned}
& \mathbf{k}=\mathrm{A} e^{-\left(\frac{E_a}{\mathrm{RT}}\right)} \\
& \operatorname{In} \mathrm{k}=\operatorname{In} \mathrm{A}-\left(\frac{E_a}{R}\right)\left(\frac{1}{T}\right)
\end{aligned}
$
this equation is in the form of a straight
line equation $\mathrm{y}=\mathrm{c}+\mathrm{mx}$
a plot of ink vs $\left(\frac{1}{T}\right)$ is a straight line with negative slope.
Question 4.
2.5 hours. For the same reaction with initial concentration $\mathrm{mol} \mathrm{L}^{-1}$ the half life is
(a) $(2.5 \times 2)$ hours
(b) $\left(\frac{2.5}{2}\right)$ hours
(c) 2.5 hours
(d) Without knowing the rate constant, $\mathrm{t}_{1 / 2}$ cannot be determined from the given data
Answer:
(d) Without knowing the rate constant, $\mathrm{t}_{1 / 2}$ cannot be determined from the given data.
Solutions:
For a first order reaction
$\mathrm{t}_{1 / 2}=\frac{0.693}{k} \mathrm{t}_{1 / 2}$ does not depend on the initial concentration and it remains constant (whatever may be the initial concentration) $\mathrm{t}_{1 / 2}=2.5 \mathrm{hrs}$.
Question 5.
For the reaction, $2 \mathrm{NH}_3 \rightarrow \mathrm{N}_2+3 \mathrm{H}_2$, if
$
\frac{-\mathrm{d}\left[\mathrm{NH}_3\right]}{\mathrm{dt}}=\mathrm{k}_1\left[\mathrm{NH}_3\right], \frac{\mathrm{d}\left[\mathrm{N}_2\right]}{\mathrm{dt}}=\mathrm{k}_2\left[\mathrm{NH}_3\right], \frac{\mathrm{d}\left[\mathrm{H}_2\right]}{\mathrm{dt}}=\mathrm{k}_3\left[\mathrm{NH}_3\right]
$
then the relation between $\mathrm{k}_1, \mathrm{k}_2$ and $\mathrm{k}_3$ is
(a) $\mathrm{k}_1=\mathrm{k}_2=\mathrm{k}_3$
(b) $\mathrm{k}_1=3 \mathrm{k}_2=2 \mathrm{k}_3$
(c) $1.5 \mathrm{k}_1=3 \mathrm{k}_2=\mathrm{k}_3$
(d) $2 \mathrm{k}_1=\mathrm{k}_2=3 \mathrm{k}_3$
Answer:
(c) $1.5 \mathrm{k}_1=3 \mathrm{k}_2=\mathrm{k}_3$
Solution:
$
\begin{aligned}
& \left(\frac{-1}{2}\right) \frac{\mathrm{d}\left[\mathrm{NH}_3\right]}{\mathrm{dt}}=\frac{\mathrm{d}\left[\mathrm{N}_2\right]}{\mathrm{dt}}=\left(\frac{1}{3}\right) \frac{\mathrm{d}\left[\mathrm{H}_2\right]}{\mathrm{dt}} \\
& \left(\frac{1}{2}\right) \mathrm{k}_1\left[\mathrm{NH}_3\right]=\mathrm{k}_2\left[\mathrm{NH}_3\right]=\left(\frac{1}{3}\right) \mathrm{k}_3\left[\mathrm{NH}_3\right] \\
& \left(\frac{3}{2}\right) \mathrm{k}_1=3 \mathrm{k}_2=\mathrm{k}_3 \\
& 1.5 \mathrm{k}_1=3 \mathrm{k}_2=\mathrm{k}_3
\end{aligned}
$
Question 6.
The decomposition of phosphine $\left(\mathrm{PH}_3\right)$ on tungsten at low pressure is a first order reaction. It is because the
(a) rate is proportional to the surface coverage
(b) rate is inversely proportional to the surface coverage
(c) rate is independent of the surface coverage
(d) rate of decomposition is slow
Answer:
(c) rate is independent of the surface coverage
Solution:
Given:
At low pressure the reaction follows first order, therefore Rate $\propto[\text { reactant }]^1$ Rate $\propto$ (surface area) At high pressure due to the complete coverage of surface area, the reaction follows zero order. Rate $\propto$ $[\text { reactant }]^{\circ}$. Therefore the rate is independent of surface area.
Question 7.
For a reaction Rate $=\mathrm{k}$ [acetone] ${ }^{3 / 2}$ then unit of rate constant and rate of reaction respectively is
(a) $\left(\mathrm{mol} \mathrm{L}^{-1} \mathrm{~s}^{-1}\right),\left(\mathrm{mol}^{-1 / 2} \mathrm{~L}^{1 / 2} \mathrm{~s}^{-1}\right)$
(b) $\left(\mathrm{mol}^{-1 / 2} \mathrm{~L}^{1 / 2} \mathrm{~s}^{-1}\right),\left(\mathrm{mol} \mathrm{L}^{-1} \mathrm{~s}^{-1}\right)$
(c) $\left(\mathrm{mol}^{1 / 2} \mathrm{~L}^{1 / 2} \mathrm{~s}^{-1}\right),\left(\mathrm{mol} \mathrm{L}^{-1} \mathrm{~s}^{-1}\right)$
(d) $\left(\mathrm{mol} \mathrm{L} \mathrm{s}^{-1}\right),\left(\mathrm{mol}^{1 / 2} \mathrm{~L}^{1 / 2} \mathrm{~s}\right)$
Answer:
(b) $\left(\mathrm{mol}^{1 / 2} \mathrm{~L}^{1 / 2} \mathrm{~s}^{-1}\right),\left(\mathrm{mol} \mathrm{L}^{-1} \mathrm{~s}^{-1}\right)$
Solution:
$
\begin{aligned}
& \text { Rate }=\mathrm{k}[\mathrm{A}]^{\mathrm{n}} \\
& \text { Rate }=\frac{-d[A]}{d t} \\
& \text { unit of rate }=\frac{m o l L^{-1}}{s}=\mathrm{mol} \mathrm{L}^{-1} \mathrm{~s}^{-1} \\
& \text { unit of rate constant }=\frac{\left(\mathrm{molL}^{-1} S^{-1}\right)}{\left(\mathrm{molL}^{-1}\right)^n} \\
& =\mathrm{mol}^{1-\mathrm{n}} \mathrm{L}^{\mathrm{n}-1} \mathrm{~S}^{-1} \\
& \text { in this case, rate } \mathrm{k} \text { [Acetone] }]^{3 / 2} \\
& n=3 / 2 \\
&
\end{aligned}
$
$
\begin{aligned}
& \operatorname{mol}^{1-(3 / 2)} \mathrm{L}^{(3 / 2)-1} \mathrm{~s}^{-1} \\
& \mathrm{~mol}^{-(1 / 2)} \mathrm{L}^{(1 / 2)} \mathrm{s}^{-1}
\end{aligned}
$
Question 8.
The addition of a catalyst during a chemical reaction alters which of the following quantities?
(a) Enthalpy
(b) Activation energy
(c) Entropy
(d) Internal energy
Answer:
(b) Activation energy
A catalyst provides a new path to the reaction with low activation energy. i.e., it lowers the activation energy.
Question 9.
Consider the following statements:
(i) increase in concentration of the reactant increases the rate of a zero order reaction.
(ii) rate constant $\mathrm{k}$ is equal to collision frequency $\mathrm{A}$ if $\mathrm{E}_{\mathrm{a}}=0$
(iii) rate constant $\mathrm{k}$ is equal to collision frequency $\mathrm{A}$ if $\mathrm{E}_{\mathrm{a}}=o$
(iv) a plot of $\ln (\mathrm{k})$ vs $T$ is a straight line.
(v) a plot of $\operatorname{In}(\mathrm{k})$ vs $\left(\frac{1}{T}\right)$ is a straight line with a positive slope.
Correct statements are
(a) (ii) only
(b) (ii) and (iv)
(c) (ii) and (v)
(d) (i), (ii) and (v)
Answer:
(a) (ii) only
Solutions:
In zero order reactions, increase in the concentration of reactant does not alter the rate, So statement (i) is wrong.
$
\mathrm{k}=A e^{-\left(\frac{E_a}{R T}\right)}
$
if $\mathrm{E}_{\mathrm{a}}=\mathrm{O}$ (so, statement (ii) is correct, and statement (iii) is wrong)
$
\begin{aligned}
& \mathbf{k}=\mathrm{A} \mathrm{e}^{\circ} \\
& \mathbf{k}=\mathrm{A} \\
& \text { in } \mathbf{k}=\mathrm{A}-\left(\frac{E_{\mathrm{a}}}{R}\right) \frac{1}{T}
\end{aligned}
$
this equation is in the form of a straight line equation $\mathrm{yc}+\mathrm{mx}$. a plot of Ink vs $\frac{1}{T}$ is a straight line with negative slope so statements (iv) and (v) are wrong.
Question 10.
In a reversible reaction, the enthalpy change and the activation energy in the forward direction are respectively $-\mathrm{x} \mathrm{kJ} \mathrm{mol}^{-1}$ and $\mathrm{y} \mathrm{kJ} \mathrm{mol}{ }^{-1}$. Therefore, the energy of activation in the backward direction is
(a) $(\mathrm{v}-\mathrm{x}) \mathrm{kJ} \mathrm{mol} \mathrm{m}^{-1}$
(b) $(x+y) \mathrm{J} \mathrm{mol}^{-1}$
(c) $(x-y) \mathrm{kJ} \mathrm{mol}^{-1}$
(d) $(\mathrm{x}+\mathrm{y}) \mathrm{x} 10^3 \mathrm{~J} \mathrm{~mol}^{-1}$
Answer:
(d) $(x+y) \times 10^3 \mathrm{~J} \mathrm{~mol}^{-1}$
Solution:
.png)
Question 11.
What is the activation energy for a reaction if its rate doubles when the temperature is raised from $200 \mathrm{~K}$ to $400 \mathrm{~K}$ ? (R $8.314 \mathrm{JK}^{-1} \mathrm{~mol}^{-1}$ )
(a) $234.65 \mathrm{~kJ} \mathrm{~mol}^{-1} \mathrm{~K}^{-1}$
(b) $434.65 \mathrm{~kJ} \mathrm{~mol}^{-1} \mathrm{~K}^{-1}$
(c) $434.65 \mathrm{~J} \mathrm{~mol}^{-1} \mathrm{~K}^{-1}$
(d) $334.65 \mathrm{~J} \mathrm{~mol}^{-1} \mathrm{~K}^{-1}$
Answer:
(c) $434.65 \mathrm{~J} \mathrm{~mol}^{-1} \mathrm{~K}^{-1}$
Solutions:
$
\begin{aligned}
& \text { Sol. } \mathrm{T}_1=200 \mathrm{~K} ; \mathrm{k}=\mathrm{k}_1 \\
& \mathrm{~T}_2=400 \mathrm{~K} ; \mathrm{k}=\mathrm{k}_2=2 \mathrm{k}_1 \\
& \log \left(\frac{\mathrm{k}_2}{\mathrm{k}_1}\right)=\frac{2.303 \mathrm{E}_{\mathrm{a}}}{\mathrm{R}}\left(\frac{\mathrm{T}_2-\mathrm{T}_1}{\mathrm{~T}_1 \mathrm{~T}_2}\right) \\
& \log \left(\frac{2 \mathrm{k}_2}{\mathrm{k}_{\mathrm{l}}}\right)=\frac{2.303 \mathrm{E}_{\mathrm{a}}}{8.314 \mathrm{~J} \mathrm{~K}^{-1} \mathrm{~mol}^{-1}}\left(\frac{400 \mathrm{~K}-200 \mathrm{~K}}{200 \mathrm{~K} \times 400 \mathrm{~K}}\right) \\
& \mathrm{E}_{\mathrm{a}}=\frac{0.3010 \times 8.314 \mathrm{~J} \mathrm{~mol}^{-1} \times 200 \times 400}{2.303 \times 200} \\
& \mathrm{E}_{\mathrm{a}}=434.65 \mathrm{~J} \mathrm{~mol}^{-1}
\end{aligned}
$
Question 12 .
.png)
This reaction follows first order kinetics. The rate constant at particular temperature is $2.303 \times 10^2$ hourd. The initial concentration of cyclopropane is $0.25 \mathrm{M}$. What will be the concentration of cyclopropane after 1806 minutes? $(\log 2=0.3010)$
(a) $0.125 \mathrm{M}$
(b) $0.215 \mathrm{M}$
(c) $0.25 \times 2.303 \mathrm{M}$
(d) $0.05 \mathrm{M}$
Answer:
(b) $0.215 \mathrm{M}$
Solution:
$
\begin{gathered}
\mathrm{k}=\left(\frac{2.303}{\mathrm{t}}\right) \log \left(\frac{\left[\mathrm{A}_0\right]}{[\mathrm{A}]}\right) \\
2.303 \times 10^{-2} \text { hour }^{-1}=\left(\frac{2.303}{1806 \mathrm{~min}}\right) \log \left(\frac{0.25}{[\mathrm{~A}]}\right) \\
\left(\frac{2.303 \times 10^{-2} \text { hour }^{-1} \times 1806 \mathrm{~min}}{2.303}\right)=\log \left(\frac{0.25}{[\mathrm{~A}]}\right) \\
\left(\frac{1806 \times 10^{-2}}{60}\right)=\log \left(\frac{0.25}{[\mathrm{~A}]}\right) \\
0.301=\log \left(\frac{0.25}{[\mathrm{~A}]}\right) \\
\log 2=\log \left(\frac{0.25}{[\mathrm{~A}]}\right) \\
2=\left(\frac{0.25}{[\mathrm{~A}]}\right) \\
{[\mathrm{A}]=\left(\frac{0.25}{2}\right)=0.125 \mathrm{M}}
\end{gathered}
$
Question 13.
For a first order reaction, the rate constant is $6.909 \mathrm{~min}^{-1}$. The time taken for $75 \%$ conversion in minutes is
(a) $\left(\frac{3}{2}\right) \log 2$
(b) $\left(\frac{3}{2}\right) \log 2$
(c) $\left(\frac{3}{2}\right) \log \left(\frac{3}{4}\right)$
(d) $\left(\frac{2}{3}\right) \log \left(\frac{4}{3}\right)$
Answer:
(b) $\left(\frac{3}{2}\right) \log 2$
Solution:
$
\begin{aligned}
& \mathrm{k}=\left(\frac{2.303}{t}\right) \log \left(\frac{\left[A_0\right]}{[A]}\right) \\
& {\left[\mathrm{A}_0\right]=100} \\
& {[\mathrm{~A}]=25} \\
& {\left[\mathrm{~A}_0\right]=100 ;[\mathrm{A}]=25} \\
& 6.909=\left(\frac{2.303}{t}\right) \log \left(\frac{100}{25}\right) \\
& \mathrm{t}=\left(\frac{2.303}{6.909}\right) \log (4) \Rightarrow \mathrm{t}=\left(\frac{1}{3}\right) \log 2^2 \\
& \mathrm{t}=\left(\frac{2}{3}\right) \log 2
\end{aligned}
$
Question 14.
In a first order reaction $\mathrm{x} \rightarrow \mathrm{y}$; if $\mathrm{k}$ is the rate constant and the initial concentration of the reactant $\mathrm{x}$ is $0.1 \mathrm{M}$, then, the half life is ........
(a) $\left(\frac{\log 2}{k}\right)$
(b) $\left(\frac{0.693}{(0.1) k}\right)$
(c) $\left(\frac{I n 2}{k}\right)$
(d) none of these
Answer:
(c) $\left(\frac{I n 2}{k}\right)$
Solution:
$
\begin{aligned}
& \mathrm{k}=\left(\frac{1}{t}\right) \operatorname{In}\left(\frac{\left[A_0\right]}{[A]}\right) \\
& {\left[\mathrm{A}_0\right]=0.1} \\
& {[\mathrm{~A}]=0.05}
\end{aligned}
$
$
\begin{aligned}
& \mathrm{k}=\left(\frac{1}{t_{1 / 2}}\right) \operatorname{In}\left(\frac{0.1}{0.05}\right) \\
& \mathrm{k}=\left(\frac{1}{t_{1 / 2}}\right) \operatorname{In}(2) \Rightarrow \mathrm{t}_{1 / 2}=\left(\frac{\operatorname{In}(2)}{k}\right)
\end{aligned}
$
Question 15.
Predict the rate law of the following reaction based on the data given below:
$
2 \mathrm{~A}+\mathrm{B} \rightarrow \mathrm{C}+3 \mathrm{D}
$
.png)
(a) rate $=\mathrm{k}[\mathrm{A}]^2[\mathrm{~B}]$
(b) rate $=\mathrm{k}[\mathrm{A}][\mathrm{B}]^2$
(c) rate $=\mathrm{k}[\mathrm{A}][\mathrm{B}]$
(d) rate $=\mathrm{k}[\mathrm{A}]^{1 / 2}[\mathrm{~B}]^{3 / 2}$
Answer:
(b) rate $=\mathrm{k}[\mathrm{A}][\mathrm{B}]^2$
Solution:
$
\begin{aligned}
\text { rate }_1 & =\mathrm{k}[0.1]^{\mathrm{n}}[0.1]^{\mathrm{m}} \\
\text { rate }_2 & =\mathrm{k}[0.2]^{\mathrm{n}}[0.1]^{\mathrm{m}}
\end{aligned}
$
Dividing Eq.(2) by Eq.(1)
$
\begin{aligned}
\frac{2 x}{x} & =\frac{\mathrm{k}[0.2]^n[0.1]^m}{\mathrm{k}[0.1]^n[0.1]^m} \\
\frac{2 x}{x} & =2^{\mathrm{n}} \\
\therefore \mathrm{n} & =1 \\
\text { rate }_3 & =\mathrm{k}[0.1]^{\mathrm{n}}[0.2]^{\mathrm{m}} \ldots \\
\text { rate }_4 & =\mathrm{k}[0.2]^{\mathrm{n}}[0.2]^{\mathrm{m}} \ldots
\end{aligned}
$
Dividing Eq.(4) by Eq.(2)
$
\begin{aligned}
& \frac{8 x}{2 x}=\frac{\mathrm{k}[0.2]^n[0.2]^m}{\mathrm{k}[0.2]^n[0.1]^m} \\
& \frac{8}{2}=2^{\mathrm{m}} \\
& \therefore \mathrm{m}=1 \\
& \therefore \text { rate }=\mathrm{k}[\mathrm{A}]^1[\mathrm{~B}]^2
\end{aligned}
$
Question 16.
Assertion: rate of reaction doubles when the concentration of the reactant is doubles if it is a first order reaction.
Reason: rate constant also doubles
(a) Both assertion and reason are true and reason is the correct explanation of assertion.
(b) Both assertion and reason are true but reason is not the correct explanation of assertion.
(c) Assertion is true but reason is false.
(d) Both assertion and reason are false.
Answer:
(c) Assertion is true but reason is false.
Solution:
For a first reaction, when the concentration of reactant is doubled, then the rate of reaction also doubled. Rate constant is independent of concentration and is a constant at a constant temperature, i.e., it depends on the temperature and hence, it will not be doubled and when the concentration of the reactant is doubled.
Question 17.
The rate constant of a reaction is $5.8 \times 102 \mathrm{~s}^1$. The order of the reaction is
(a) First order
(b) zero order
(c) Second order
(a) Third order
Answer:
(a) First order
Solution:
The unit of rate constant is $\mathrm{s}^{-1}$ and it indicates that the reaction is first order.
Question 18.
For the reaction $\mathrm{N}_2 \mathrm{O}_{5(\mathrm{~g})} \rightarrow 2 \mathrm{NO}_{2(\mathrm{~g})}+\frac{1}{2}-\mathrm{O}_{2(\mathrm{~g})}$ the value of rate of disappearance of $\mathrm{N}_2 \mathrm{O}_5$ is given as $6.5 \times 10^{-2} \mathrm{~mol} \mathrm{~L}^{-1} \mathrm{~s}^{-1}$ The rate of formation of $\mathrm{NO}_2$ and $\mathrm{O}_2$ is given respectively as
(a) $\left(3.25 \times 10^{-2} \mathrm{~mol} \mathrm{~L}^{-1} \mathrm{~s}^{-1}\right)$ and $\left(1.3 \times 10^{-2} \mathrm{~mol} \mathrm{~L}^{-1} \mathrm{~s}^{-1}\right)$
(b) $\left(1.3 \times 10^{-2} \mathrm{~mol} \mathrm{~L}^{-1} \mathrm{~s}^{-1}\right)$ and $\left(3.25 \times 10^2 \mathrm{~mol} \mathrm{~L}^{-1} \mathrm{~s}^{-1}\right)$
(c) $\left(1.3 \times 10^{-1} \mathrm{~mol} \mathrm{~L}^{-1} \mathrm{~s}^{-1}\right)$ and $\left(3.25 \times 10^{-2} \mathrm{~mol} \mathrm{~L}^{-1} \mathrm{~s}^{-1}\right)$
(d) None of these
Answer:
(c) $\left(1.3 \times 10^{-1} \mathrm{~mol} \mathrm{~L}^{-1} \mathrm{~s}^{-1}\right)$ and $\left(3.25 \times 10^{-2} \mathrm{~mol} \mathrm{~L}^{-1} \mathrm{~s}^{-1}\right)$
Rate $=\frac{\mathrm{d}\left[\mathrm{N}_2 \mathrm{O}_5\right]}{\mathrm{dt}}=\left(\frac{1}{2}\right) \frac{\mathrm{d}\left[\mathrm{NO}_2\right]}{\mathrm{dt}}=\frac{2 \mathrm{~d}\left[\mathrm{O}_2\right]}{\mathrm{dt}}$
Given that,
$
\frac{\mathrm{d}\left[\mathrm{N}_2 \mathrm{O}_5\right]}{\mathrm{dt}}=6.5 \times 10^{-2} \mathrm{~mol} \mathrm{~L}^{-1} \mathrm{~s}^{-1}
$
$
\begin{aligned}
& \frac{\mathrm{d}\left[\mathrm{NO}_2\right]}{\mathrm{dt}}=2 \times 6.5 \times 10^{-2}=1.3 \times 10^{-1} \mathrm{~mol} \mathrm{~L}^{-1} \mathrm{~s}^{-1} \\
& \frac{\mathrm{d}\left[\mathrm{O}_2\right]}{\mathrm{dt}}=\frac{6.5 \times 10^{-2}}{2}=3.25 \times 10^{-2} \mathrm{~mol} \mathrm{~L}^{-1} \mathrm{~s}^{-1}
\end{aligned}
$
Question 19.
During the decomposition of $\mathrm{H}_2 \mathrm{O}_2$ to give dioxygen, $48 \mathrm{~g} \mathrm{O}_2$ is formed per minute at certain point of time. The rate of formation of water at this point is
(a) $0.75 \mathrm{~mol} \mathrm{~min}^{-1}$
(b) $1.5 \mathrm{~mol} \mathrm{~min}^{-1}$
(c) $2.25 \mathrm{~mol} \mathrm{~min}^{-1}$
(d) $3.0 \mathrm{~mol} \mathrm{~min}^{-1}$
Answer:
(d) $3.0 \mathrm{~mol} \mathrm{~min}^{-1}$
Solution:
$
\begin{aligned}
& \mathrm{H}_2 \mathrm{O}_2 \rightarrow \mathrm{H}_2 \mathrm{O}+\frac{1}{2} \mathrm{O}_2 \\
& \text { Rate }=\text { Rate }=\frac{-\mathrm{d}\left[\mathrm{H}_2 \mathrm{O}_2\right]}{\mathrm{dt}}=\frac{\mathrm{d}\left[\mathrm{H}_2 \mathrm{O}\right]}{\mathrm{dt}}=\frac{2 \mathrm{~d}\left[\mathrm{O}_2\right]}{\mathrm{dt}} \\
& \text { No. of moles of oxygen }=\left(\frac{48}{32}\right)=1.5 \mathrm{~mol} \\
& \text { Rate of formation of oxygen }=2 \times 1.5 \\
& =3 \mathrm{~mol} \mathrm{~min}^{-1}
\end{aligned}
$
Question 20.
If the initial concentration of the reactant is doubled, the time for half reaction is also doubled. Then the order of the reaction is
(a) Zero
(b) one
(c) Fraction
(d) none
Answer:
(a) Zero
Solution:
For a first order reaction $t^{1 / 2}$ is independent of initial concentration .i.e., $n \neq 1$ for such cases
$
\begin{aligned}
& t_{1 / 2} \propto \frac{1}{\left[A_0\right]^{n-1}} \\
& \text { If }\left[A_0\right]=2\left[A_0\right] ; \text { then } t_{1 / 2}=2 t_{1 / 2} \\
& 2 t_{1 / 2} \propto \frac{1}{\left[2 A_0\right]^{n-1}}
\end{aligned}
$
Dividing Eq.(2) by Eq.(1)
$
\begin{aligned}
& 2=\frac{1}{\left[2 A_0\right]^{n-1}} \times \frac{\left[A_0\right]^{n-1}}{1}=\frac{\left[A_0\right]^{n-1}}{\left[2 A_0\right]^{n-1}} \\
& 2=\left(\frac{1}{2}\right)^{n-1}=\left(2^{-1}\right)^{n-1} \\
& 2^1=\left(2^{-n+1}\right) \\
& \mathrm{n}=0
\end{aligned}
$
Question 21.
In a homogeneous reaction $\mathrm{A}$ ? $\mathrm{B}+\mathrm{C}+\mathrm{D}$, the initial pressure was $\mathrm{P}_0$ and after time $t$ it was $\mathrm{P}$. Expression for rate constant in terms of $\mathrm{P}_0, \mathrm{P}$ and $\mathrm{t}$ will be ........
(a) $\mathrm{k}=\left(\frac{2.303}{\mathrm{t}}\right) \log \left(\frac{2 \mathrm{P}_0}{3 \mathrm{P}_0-\mathrm{P}}\right)$
(b) $\mathrm{k}=\left(\frac{2.303}{\mathrm{t}}\right) \log \left(\frac{2 \mathrm{P}_0}{\mathrm{P}_0-\mathrm{P}}\right)$
(c) $\mathrm{k}=\left(\frac{2.303}{\mathrm{t}}\right) \log \left(\frac{3 \mathrm{P}_0-\mathrm{P}}{2 \mathrm{P}_0}\right)$
(d) $\mathrm{k}=\left(\frac{2.303}{\mathrm{t}}\right) \log \left(\frac{2 \mathrm{P}_0}{3 \mathrm{P}_0-2 \mathrm{P}}\right)$
Answer:
(a) $\mathrm{k}=\left(\frac{2.303}{\mathrm{t}}\right) \log \left(\frac{2 \mathrm{P}_0}{3 \mathrm{P}_0-\mathrm{P}}\right)$
Solution:
.png)
$
\begin{aligned}
& \mathrm{a} \propto \mathrm{P}_0 \\
& (\mathrm{a}+2 x) \propto \mathrm{P} \\
& \frac{\mathrm{a}}{(\mathrm{a}+2 x)}=\frac{\mathrm{P}_0}{\mathrm{P}} \\
& x=\frac{\left(\mathrm{P}-\mathrm{P}_0\right) \mathrm{a}}{\mathrm{P}_0} \\
& (a-x)=a-\left(\frac{\left(\mathrm{P}-\mathrm{P}_0\right) a}{\mathrm{P}_0}\right) \\
& (\mathrm{a}-x)=a\left\{\frac{\left.3 \mathrm{P}_0-\mathrm{P}\right\}}{2 \mathrm{P}_0}\right\} \\
& \mathrm{k}=\left(\frac{2.303}{\mathrm{t}}\right) \log \left(\frac{\mathrm{a}}{\mathrm{a}-x}\right) \\
& \mathrm{k}=\left(\frac{2.303}{\mathrm{t}}\right) \log \left(\frac{\mathrm{a}}{\mathrm{a}\left\{\frac{3 \mathrm{P}_0-\mathrm{P}}{2 \mathrm{P}_0}\right\}}\right) \\
& \mathrm{k}=\left(\frac{2.303}{\mathrm{t}}\right) \log \left(\frac{2 \mathrm{P}_0}{3 \mathrm{P}_0-\mathrm{P}}\right)
\end{aligned}
$
Question 22 .
If $75 \%$ of a first order reaction was completed in 60 minutes, $50 \%$ of the same reaction under the same conditions would be completed in
(a) 20 minutes
(b) 30 minutes
(c) 35 minutes
(d) 75 minutes
Answer:
(b) 30 minutes
Solution:
$
\begin{aligned}
& \mathrm{t}_{75 \%}=2 \mathrm{t}_{50 \%} \\
& \mathrm{t}_{50 \%}=\left(\frac{\mathrm{t}_{75 \%}}{2}\right)=\left(\frac{60}{2}\right)=30 \mathrm{~min}
\end{aligned}
$
Question 23.
The half life period of a radioactive element is 140 days. After 560 days, $1 \mathrm{~g}$ of element will be reduced to
(a) $\frac{1}{2} g$
(b) $\frac{1}{4} \mathrm{~g}$
(c) $\frac{1}{8} \mathrm{~g}$
(d) $\frac{1}{16} \mathrm{~g}$
Answer:
(d) $\frac{1}{16} \mathrm{~g}$
Solution:
in 140 days $\Rightarrow$ initial concentration reduced to $\frac{1}{2} \mathrm{~g}$
in 280 days $\Rightarrow$ initial concentration reduced to $\frac{1}{4} \mathrm{~g}$
in 420 days $\Rightarrow$ initial concentration reduced to $\frac{1}{8} \mathrm{~g}$
in 560 days $\Rightarrow$ initial concentration reduced to $\frac{1}{8} \mathrm{~g}$
Question 24.
The correct difference between first and second order reactions is that
(a) A first order reaction can be catalysed a second order reaction cannot be catalysed.
(b) The half life of a first order reaction does not depend on $\left[\mathrm{A}_0\right]$ the half life of a second order reaction does depend on $\left[\mathrm{A}_0\right]$.
(c) The rate of a first order reaction does not depend on reactant concentrations; the rate of a second order reaction does depend on reactant concentrations.
(d) The rate of a first order reaction does depend on reactant concentrations; the rate of a second order reaction does not depend on reactant concentrations, Answer:
(b) The half life of a first order reaction does not depend on $\left[\mathrm{A}_0\right]$; the half life of a second order reaction does depend on $\left[\mathrm{A}_0\right]$.
Solution:
For a first order reaction
$
\mathrm{t}_{1 / 2}=\frac{0.6932}{k}
$
For a second order reaction
$
\begin{aligned}
& t_{1 / 2}=\frac{2^{n-1}-1}{(n-1) k\left[A_0\right]^{n-1}} \\
& n=2 \\
& t_{1 / 2}=\frac{2^{2-1}-1}{(2-1) k\left[A_0\right]^{2-1}} \\
& t_{1 / 2}=\frac{1}{k\left[A_0\right]}
\end{aligned}
$
Question 25.
After 2 hours, a radioactive substance becomes $\left(\frac{1}{16}\right)^{\text {th }}$ of original amount. Then the half life (in mm) is
(a) 60 minutes
(b) 120 minutes
(c) 30 minutes
(d) 15 minutes
Answer:
(c) 30 minutes
Solution:
$
\begin{aligned}
& \stackrel{1}{\stackrel{t_1 / 2}{\longrightarrow}}\left(\frac{1}{2}\right) \stackrel{t_1 / 2}{\longrightarrow}\left(\frac{1}{4}\right) \stackrel{t_{1 / 2}}{\longrightarrow}\left(\frac{1}{8}\right) \stackrel{\mathrm{t}_{1 / 2}}{\longrightarrow}\left(\frac{1}{16}\right) \\
& \therefore 4 \mathrm{t}^{1 / 2}=2 \text { hours } \\
& \mathrm{t}^{1 / 2}=30 \mathrm{~min}
\end{aligned}
$
II . Answer the following questions:
Question 1.
Define average rate and instantaneous rate.
Answer:
1. Average rate:
The average rate of a reaction is defined as the rate of change of concentration of a reactant (or of a product) over a specified measurable period of time.
2. insantaneous rate:
Instantaneous rate of reaction gives the tendency of the reaction at a particular point of time during its course (or) The time derivative of the concentration of a reactant (or product) converted to a positive number is called the instantaneous rate of reaction.
Question 2.
Define rate law and rate constant.
Answer:
1. Rate law:
The expression in which reaction rate is given in terms of molar concentration of the reactants with each term raised to some power, which may or may not be same as the Stoichiometric coefficient of the reacting species in a balanced chemical equation.
$\mathrm{xA}+\mathrm{y} \mathrm{B} \rightarrow$ products
Rate $=\mathrm{k}[\mathrm{A}]^{\mathrm{m}}[\mathrm{B}]^{\mathrm{m}}$
$\mathrm{k}=$ Rate constant
2. Rate constant:
For a reaction involving the reactants $A$ and $B$, Reaction rate $=k[A]^{\mathrm{m}}[\mathrm{B}]^{\mathrm{m}}$ The constant $\mathrm{k}$ is called rate constant of the reaction. If $[\mathrm{A}]=1 \mathrm{M}$ and $[\mathrm{B}]=1 \mathrm{M}$; Reaction rate $=\mathrm{k}$ Thus, the rate constant $(\mathrm{k})$ of a reaction is equal to the rate of reaction when the concentration of each reactant is equal to $1 \mathrm{~mol}$ $\mathrm{L}^{-1}$. The change in the concentration of reactant or product per unit time under the condition of unit concentration of all the reactant.
Question 3.
Derive integrated rate law for a zero order reaction A product. A reaction in which the rate is independent of the concentration of the reactant over a wide range of concentrations is called as zero order reactions. Such reactions are rare. Let us consider the following hypothetical zero order reaction.
Answer:
A $\rightarrow$ Product
The rate law can be written
Rate $=\mathrm{k}[\mathrm{A}]^{\circ}$
$\left(\therefore[\mathrm{A}]^{\circ}=1\right)$
$-\mathrm{d}[\mathrm{A}] \mathrm{k}(\mathrm{l})$
$\begin{aligned} \frac{-d[A]}{d t} & =\mathrm{k}(1) \\ -\mathrm{d}[\mathrm{A}] & =\mathrm{kdt}\end{aligned}$
Integrate the above equation between the limits of $\left[\mathrm{A}_0\right]$ at zero time and $[\mathrm{A}]$ at some later time ' $\mathrm{t}$ ',
$
\begin{aligned}
& -\int_{\left[A_0\right]}^{[A]} \mathrm{d}[\mathrm{A}]=\mathrm{k} \int_0^{\mathrm{t}} \mathrm{dt} \\
& -([\mathrm{A}])_{\left[\mathrm{A}_0\right]}^{[\mathrm{A}]}=\mathrm{k}(\mathrm{t})_0^{\mathrm{t}} \\
& {\left[[\mathrm{A}]-\left[\mathrm{A}_0\right]\right]=\mathrm{kt}} \\
& \mathrm{k}=\frac{\left[\mathrm{A}_0\right]-[\mathrm{A}]}{\mathrm{t}}
\end{aligned}
$
Question 4.
Define half life of a reaction. Show that for a first order reaction half life is independent of Initial concentration.
Answer:
Half life of a reaction is defined as the time required for the reactant concentration to reach one half of its initial value. For a first order reaction, the half life is a constant i.e., it does not depend on the initial concentration. The rate constant for a first order reaction is given by,
$
\begin{aligned}
& \mathrm{k}=\frac{2.303}{\mathrm{t}} \log \frac{\left[\mathrm{A}_0\right]}{[\mathrm{A}]} \\
& \text { at } \mathrm{t}=\mathrm{t}_{1 / 2} ;[\mathrm{A}]=\left[\mathrm{A}_0\right] / 2 \\
& \therefore \mathrm{k}=\frac{2.303}{\mathrm{t}_{1 / 2}} \log \frac{\left[\mathrm{A}_0\right]}{\left[\mathrm{A}_0\right] / 2} \\
& \mathrm{k}=\frac{2.303}{\mathrm{t}_{1 / 2}} \log (2) \\
& \mathrm{k}=\frac{2.303 \times 0.3010}{\mathrm{t}_{1 / 2}}=\frac{0.6932}{\mathrm{t}_{1 / 2}} \\
& \mathrm{t}_{1 / 2}=\frac{0.6932}{\mathrm{k}}
\end{aligned}
$
Question 5.
What is an elementary reaction? Give the differences between order and molecularity of a reaction.
Answer:
Elementary reaction - Each and every single step in a reaction mechanism is called an elementary reaction. Differences between order and molecularity:
Order of a reaction:
1. It is the sum of the powers of concentration terms involved in the experimentally determined rate law.
2. It can be zero (or) fractional (or) integer.
3. It is assigned for a overall reaction.
Molecularity of a reaction:
1. It is the total number of reactant species that are involved in an elementary step.
2. It is always a whole number, cannot be zero or a fractional number.
3. It is assigned for each elementary step of mechanism.
Question 6.
Explain the rate determining step with an example.
Answer:
1. Most of the chemical reactions occur by multistep reactions. In the sequence of steps it is found that one of the steps is considerably slower than the others. The overall rate of the reaction cannot be lower in value than the rate of the slowest step.
2. Thus in a multistep reaction the experimentally determined rate corresponds to the rate of the slowest step. The step which has the lowest rate value among the other steps of the reaction is called as the rate determining step (or) rate limiting step.
3. Consider the reaction,
$
2 \mathrm{~A}+\mathrm{B} \rightarrow \mathrm{C}+\mathrm{D}
$
going by two steps as follows,
.png)
Here the overall rate of the reaction corresponds to the rate of the first step which is the slow step and thus the first step is called as the rate determining step of the reaction. In the above equation, the rate of the reaction depends upon the rate constant $k$ ( only. The rate of second step dosn't contribute experimentally determined overall rate of the reaction.
For example,
$
\mathrm{NO}_{2(\mathrm{~g})}+\mathrm{CO}_{2(\mathrm{~g})} \rightarrow \mathrm{NO}_{(\mathrm{g})}+\mathrm{CO}_{2(\mathrm{~g})}
$
Which occurs in two elementary steps:
- $\mathrm{NO}_2+\mathrm{NO}_2 \rightarrow \mathrm{NO}+\mathrm{NO}_3$ (Slow)
- $\mathrm{NO}_3+\mathrm{CO} \rightarrow \mathrm{NO}_2+\mathrm{CO}_2$ (fast)
Because the first step is the lowest step, the overall reaction cannot proceed any faster than the rate of the first elementary step. The first elementary step in this example is therefore the rate determining step.
The rate equation for this reaction is equal to the rate is constant of step- 1 multiplied by the reactants of that first step. If the rate constant of step- 1 is denoted as $k_1$ then the rate of the first step in the reaction (and the total reaction) will be,
$
\begin{aligned}
& \text { Rate }=\mathrm{k},\left[\mathrm{NO}_2\right]\left[\mathrm{NO}_2\right] \\
& =\mathrm{k}_1\left[\mathrm{NO}_2\right]_2
\end{aligned}
$
Question 7.
Describe the graphical representation of first order reaction.
Answer:
Rate constant for first order reaction is,
$
\begin{aligned}
& \mathrm{kt}=\ln \left(\frac{\left[A_0\right]}{[A]}\right) \\
& \mathrm{kt}=\mathrm{In}\left[\mathrm{A}_0\right]-\mathrm{In}[\mathrm{A}] \\
& \mathrm{In}[\mathrm{A}]=\operatorname{In}\left[\mathrm{A}_0\right]-\mathrm{kty}=\mathrm{c}+\mathrm{mx}
\end{aligned}
$
If we follow the reaction by measuring the concentration of the reactants at regular time interval ' $\mathrm{t}$ ', a plot of $\ln [\mathrm{A}]$ against ' $t$ ' yields a straight line with a negative slope. From this, the rate constant is
calculated.
.png)
Question 8.
Write the rate law for the following reactions.
1. A reaction that is $3 / 2$ order in $\mathrm{x}$ and zero order in $\mathrm{y}$.
2. A reaction that is second order in $\mathrm{NO}$ and first order in $\mathrm{Br}_2$.
Answer:
1. $\frac{3}{2} \mathrm{x}+\mathrm{y}$ (excess) $\rightarrow$ products
$-\frac{3}{2} \frac{d[x]}{d t}=\mathrm{k}[\mathrm{x}]^{3 / 2}$
2. $2 \mathrm{NO}+\mathrm{Br}_2 \rightarrow$ products
$-\frac{1}{2} \frac{d[N O]}{d t}=\mathrm{k}[\mathrm{NO}]^2\left[\mathrm{Br}_2\right]$
Question 9.
Explain the effect of catalyst on reaction rate with an example.
Answer:
1. Significant changes in the reaction can be brought out by the addition of a substance called catalyst.
2. A catalyst is substance which alters the rate of a reaction without itself undergoing any permanent chemical change.
3. They may participate in the reaction, but again regenerated and the end of the reaction.
4. In the presence of a catalyst, the energy of activation is lowered and hence, greater number of molecules can cross the energy barrier and change over to products, thereby increasing the rate of the reaction.
5. For example, decomposition of potassium chlorate is enhanced by addition of $\mathrm{MnO}_2$.
$2 \mathrm{KClO}_3 \frac{\mathrm{MnO}_4}{\Delta} 2 \mathrm{KCl}+3 \mathrm{O}_2\left(\mathrm{MnO}_2-\right.$ Catalyst $)$
.png)
Question 10.
The rate law for a reaction of $A, B$ and $C$ has been found to be rate $=k[A]^2[B][L]^{3 / 2}$. How would the rate of reaction change when
1. Concentration of $[\mathrm{L}]$ is quadrupled
2. Concentration of both $[\mathrm{A}]$ and $[\mathrm{B}]$ are doubled
3. Concentration of $[\mathrm{A}]$ is halved
4. Concentration of $[\mathrm{A}]$ is reduced to $(1 / 3)$ and concentration of $[\mathrm{L}]$ is quadrupled.
Solution:
Rate $=\mathrm{k}[\mathrm{A}]^2[\mathrm{~B}][\mathrm{L}]^{3 / 2}$
1. when $[\mathrm{L}]=[4 \mathrm{~L}]$
Rate $=\mathrm{k}[\mathrm{A}]^2[\mathrm{~B}][4 \mathrm{~L}]^{3 / 2}$
Rate $=8\left(\mathrm{k}[\mathrm{A}]^2[\mathrm{~B}][\mathrm{L}]^{3 / 2}\right) \ldots \ldots \ldots \ldots \ldots \ldots \ldots . .(2)$
Comparing (1) and (3) rate is increased by 8 times.
2. when $[\mathrm{A}]=[2 \mathrm{~A}]$ and $[\mathrm{B}]=[2 \mathrm{~B}]$
Rate $=\mathrm{k}[2 \mathrm{~A}]^2[2 \mathrm{~B}][\mathrm{L}]^{3 / 2}$
Rate $=8\left(\mathrm{k}[\mathrm{A}]^2[\mathrm{~B}][\mathrm{L}]^{3 / 2} \ldots \ldots \ldots \ldots \ldots . .(3)\right.$
Comparing (1) and (3); rate is increased by 8 times.
3. when $[\mathrm{A}]=\left[\frac{A}{2}\right]$
Rate $=\mathrm{k}\left[\frac{A}{2}\right]^2[\mathrm{~L}] \frac{3}{2}$
Rate $=\frac{1}{4}\left(\mathrm{k}[\mathrm{A}]^2[\mathrm{~B}][\mathrm{L}]^{3 / 2}\right) \ldots \ldots \ldots \ldots \ldots . .(4)$
Comparing (1) and (4); rate is reduced to $\frac{1}{4}$ times.
4. when $[\mathrm{A}]=\left[\frac{A}{3}\right]$ and $[\mathrm{L}]=[4 \mathrm{~L}]$
Rate $\mathrm{k} \frac{A}{3}^2[\mathrm{~B}][4 \mathrm{~L}]^{3 / 2}$
Rate $=\left[\frac{8}{9}\right]\left(\mathrm{k}[\mathrm{A}]^2[\mathrm{~B}][\mathrm{L}]^{3 / 2}\right) \ldots \ldots \ldots \ldots \ldots \ldots .(5)$
Comparing (1) and (5); rate is reduced to $8 / 9$ times.
Question 11.
The rate of formation of a dimer in a second order reaction is $7.5 \times 10^{-3} \mathrm{~mol} \mathrm{~L}^{-1} \mathrm{~s}^{-1}$ at $0.05 \mathrm{~mol} \mathrm{~L}^{-1}$ monomer concentration. Calculate the rate constant.
Solution:
Let us consider the dimensation of a monomer $M$
$
\begin{aligned}
& 2 \mathrm{M} \rightarrow(\mathrm{M})_2 \\
& \text { Rate }=\mathrm{k}[\mathrm{M}]^{\mathrm{n}}
\end{aligned}
$
Given that $\mathrm{n}=2$ and $[\mathrm{M}]=0.05 \mathrm{~mol} \mathrm{~L}^{-1}$
Rate $=7.5 \times 10^{-3} \mathrm{~mol} \mathrm{~L}^{-1} \mathrm{~s}^{-1}$
Rate $7.5 \times 10^3 \mathrm{~mol} \mathrm{~L}^{-1} \mathrm{~s}^{-1}$
$
\begin{aligned}
& \mathrm{k}=\frac{\text { Rate }}{[M]^n} \\
& \mathrm{k}=\frac{-7.5 \times 10^{-3}}{(0.05)^2}=3 \mathrm{~mol}^{-1} \mathrm{Ls}^{-1}
\end{aligned}
$
Question 12 .
For a reaction $\mathrm{x}+\mathrm{y}+\mathrm{z} \rightarrow$ products, the rate law is given by rate $=\mathrm{k}[\mathrm{x}]^{3 / 2}[\mathrm{y}]^{1 / 2}$ what is the overall order of the reaction and what is the order of the reaction with respect to $\mathrm{z}$.
Solution:
$
\begin{aligned}
& \text { Rate }=\mathrm{k}[\mathrm{x}]^{3 / 2}[\mathrm{y}]^{1 / 2} \\
& \text { overall order }=\left(\frac{3}{2}+\frac{1}{2}\right)=2
\end{aligned}
$
i.e., second order reaction.
Since the rate expression does not contain the concentration of $Z$, the reaction is zero order with respect to $Z$.
Question 13.
Explain briefly the collision theory of bimolecular reactions.
Answer:
Collision theory is based on the kinetic theory of gases. According to this theory, chemical reactions occur as a result of collisions between the reacting molecules. Let us understand this theory by considering the following reaction.
$
\mathrm{A}_{2(\mathrm{~g})}+\mathrm{B}_{2(\mathrm{~g})} \rightarrow 2 \mathrm{AB}_{(\mathrm{g})}
$
If we consider that, the reaction between $\mathrm{A}_2$ and $\mathrm{B}_2$ molecules proceeds through collisions between them, then the rate would be proportional to the number of collisions per second. Rate ix Number of molecules colliding per litre per second (or) Rate $\propto$ Collision rate. The number of collisions is directly proportional to the concentration of both $\mathrm{A}_2$ and $\mathrm{B}_2$.
Collision rate $\propto\left[\mathrm{A}_2\right]\left[\mathrm{B}_2\right]$
Collision rate $=\mathrm{Z}\left[\mathrm{A}_2\right]\left[\mathrm{B}_2\right]$
Where, $\mathrm{Z}$ is a constant.
The collision rate $¡ \mathrm{n}$ gases can be calculated from kinetic theory of gases. For a gas at room temperature $(298 \mathrm{~K})$ and 1 atm pressure, each molecule undergoes approximately $10^9$ collisions per second, i.e., I collision in $10^9$ second. Thus, if every collision resulted in reaction, the reaction would be complete in $10^9$ second.
In actual practice this does not happen. It implies that all collisions are not effective to lead to the reaction. In order to react, the colliding molecules must possess a minimum energy called activation energy. The molecules that collide with less energy than activation energy will remain intact and no reaction occurs.
Fraction of effective collisions (f) is given by the following expression, $e^{\frac{-E_a}{R T}}$ Fraction of collisions is further reduced due to orientation factor i.e., even if the reactant collide with sufficient energy, they will not react unless the orientation of the reactant molecules is suitable for the formation of the transition state. The fraction of effective collisions (f) having proper orientation is given by the steric factor $P$.
Rate $=\mathrm{P} \times \mathrm{f} \times$ collision rate
Rate $=\mathrm{P} \times e^{\frac{-E_a}{R T}} \times \mathrm{Z}\left[\mathrm{A}_2\right]\left[\mathrm{B}_2\right] \ldots \ldots . .(1)$
As per the rate law, Rate $=\mathrm{k}\left[\mathrm{A}_2\right]\left[\mathrm{B}_2\right]$
Where $\mathrm{k}$ is the rate constant
On comparing equation (1) and (2), the rate constant $\mathrm{k}$ is, $\mathrm{k}=\mathrm{p} \mathrm{Z} e^{\frac{-E_a}{R T}}$
Question 14.
Write Arrhenius equation and explains the terms involved.
Answer:
Arrhenius equation:
$\mathrm{k}=\mathrm{A} e^{\frac{-E_a}{R T}}$
$\mathrm{A}=$ Arrhenius factor (frequency factor)
$\mathrm{R}=$ Gas constant
$\mathrm{k}=$ Rate constant
$\mathrm{E}_{\mathrm{a}}=$ Activation energy
$\mathrm{T}=$ Absolute temperature (in $\mathrm{K}$ )
Question.15.
The decomposition of $\mathrm{Cl}_2 \mathrm{O}_7$ at $500 \mathrm{~K}$ in the gas phase to $\mathrm{Cl}_2$ and $\mathrm{O}_2$ is a first order reaction. After 1 minute at $500 \mathrm{~K}$, the pressure of $\mathrm{Cl}_2 \mathrm{O}_7$ falls from 0.08 to $0.04 \mathrm{~atm}$. Calculate the rate constant in s ${ }^{-1}$.
Solution:
$
\mathrm{k}=\frac{2.303}{t} \log \frac{\left[\mathrm{A}_0\right]}{[\mathrm{A}]}
$
$\begin{aligned}
& \mathrm{k}=\frac{2.303}{1 \min } \log \frac{[0.08]}{[0.04]} \\
& \mathrm{k}=2.303 \log 2 \\
& \mathrm{k}=2.303 \times 0.3010 \\
& \mathrm{k}=0.6932 \mathrm{~min}^{-1}
\end{aligned}$
$
\begin{aligned}
& \mathrm{k}=\left(\frac{0.6932}{60}\right) \mathrm{s}-1 \\
& \mathrm{k}=1.153 \times 10^{-2} \mathrm{~s}^{-1}
\end{aligned}
$
Question 16.
Give the examples for a zero order reaction.
Answer:
Examples for a zero order reaction:
1. Photochemical reaction between $\mathrm{H}_2$ and $\mathrm{Cl}$
$
\mathrm{H}_{2(\mathrm{~g})}+\mathrm{Cl}_{2(\mathrm{~g})} \underline{h ц} 2 \mathrm{HCI}_{(\mathrm{g})}
$
2. Decomposition of $\mathrm{N}_2 \mathrm{O}$ on hot platinum surface
$
\mathrm{N}_2 \mathrm{O}_{(\mathrm{g})} \rightleftharpoons \mathrm{N}_{2(\mathrm{~g})}+\frac{1}{2} \mathrm{O}_{2(\mathrm{~g})}
$
3. lodination of acetone in acid medium is zero order with respect to iodine.
$
\mathrm{CH}_3 \mathrm{COCH}_3+\mathrm{I}_2 \stackrel{\mathrm{H}^{+}}{\longrightarrow} \mathrm{ICH}_2 \mathrm{COCH}_3+\mathrm{HI}
$
Rate $\mathrm{k}\left[\mathrm{CH}_3 \mathrm{COCl}_3\right]\left[\mathrm{H}^{+}\right]$
Question 17.
Explain pseudo first order reaction with an example.
Answer:
A second order reaction can be altered to a first order reaction by taking one of the reactant in large excess, such reaction is called pseudo first order reaction. Let us consider the acid hydrolysis of an ester,
$
\begin{aligned}
& \mathrm{CH}_3 \mathrm{COOCH}_{3(\mathrm{aq})}+\mathrm{H}_2 \mathrm{O}_{(1)} \stackrel{\mathrm{H}^{+}}{\longrightarrow} \mathrm{CH}_3 \mathrm{COOH}_{(\mathrm{aq})}+\mathrm{CH}_3 \mathrm{OH}_{(\mathrm{aq})} \\
& \text { Rate }=\mathrm{k}\left[\mathrm{CH}_3 \mathrm{COOCH}_3\right]\left[\mathrm{H}_2 \mathrm{O}\right]
\end{aligned}
$
If the reaction is carried out with the large excess of water, there is no significant change in the concentration of water during hydrolysis. i.e., concentration of water remains almost a constant. Now we can define $\mathrm{k}\left[\mathrm{H}_2 \mathrm{O}\right]=\mathrm{k}$
$\therefore$ The above rate equation becomes
Rate $\mathrm{k}[\mathrm{CHCOOCH}]$ Thus it follows first order kinetics.
Question 18.
Identify the order for the following reactions
1. Rusting of Iron
2. Radioactive disintegration of ${ }_{92} \mathrm{U}^{23}$
3. $2 \mathrm{~A}+\mathrm{B} \rightarrow$ products; rate $=\mathrm{k}[\mathrm{A}]^{1 / 2}[\mathrm{~B}]^2$
Answer:
1.
.png)
Theoritically order value may be more than one but practically one.
2. All radioactive disintegrations are first order reactions
3. $2 \mathrm{~A}+3 \mathrm{~B} \rightarrow$ products:
rate $=\mathrm{k}[\mathrm{A}]^{1 / 2}[\mathrm{~B}]^2$
Order $=\frac{1}{2}+2=\frac{5}{2}=2.5$
Question 19.
A gas phase reaction has energy of activation $200 \mathrm{~kJ} \mathrm{~mol}^{-1}$. If the frequency factor of the reaction is $1.6 \times 10^{13} \mathrm{~s}^{-1}$. Calculate the rate constant at $600 \mathrm{~K} .\left(\mathrm{e}^{-40.09}=3.8 \times 10^{-18}\right)$
Solution:
$
\begin{aligned}
& \mathrm{k}=\mathrm{A} e^{-\left(\frac{E_a}{R T}\right)} \\
& \mathrm{k}=1.6 \times 10^{13} \mathrm{~s}^{-1} e^{-\left(\frac{200 \times 103 \mathrm{~J} \mathrm{~mol}^{-1}}{8.314 \mathrm{JK}^{-1} \mathrm{~mol}^{-1} \times 600 \mathrm{~K}}\right)} \\
& \mathrm{k}=1.6 \times 10^{13} \mathrm{~s}^{-1} e^{-(40.1)} \\
& \mathrm{k}=1.6 \times 10^{13} \mathrm{~s}^{-1} \times 3.8 \times 10^{-18} \\
& \mathrm{k}=6.21 \times 10^{-5} \mathrm{~s}^{-1}
\end{aligned}
$
Question 20.
For the reaction $2 \mathrm{x}+\mathrm{y} \rightarrow \mathrm{L}$ find the rate law from the following data.
.png)
Answer:
$
\begin{aligned}
& \text { Rate }=\mathrm{k}[\mathrm{x}]^{\mathrm{n}}[\mathrm{y}]^{\mathrm{m}} \\
& 0.15=\mathrm{k}[0.2]^{\mathrm{n}}[0.02]^{\mathrm{m}} . \\
& 0.30=\mathrm{k}[0.4]^{\mathrm{n}}[0.02]^{\mathrm{m}} . \\
& 1.20=\mathrm{k}[0.4]^{\mathrm{n}}[0.08]^{\mathrm{m}} .
\end{aligned}
$
Dividing $\mathrm{Eq}(3)$ by $\mathrm{Eq}$ (2) we get
$
\begin{aligned}
& \frac{1.2}{0.3}=\frac{\mathrm{k}[0.4]^{\mathrm{n}}[0.08]^{\mathrm{m}}}{\mathrm{k}[0.4]^{\mathrm{n}}[0.02]^{\mathrm{m}}} \\
& 4=\left(\frac{[0.08]}{[0.02]}\right)^{\mathrm{m}} \\
& 4=(4)^{\mathrm{m}} \\
& \therefore \mathrm{m}=1 \\
& \text { Rate }=\mathrm{k}[x]^1[y]^1 \\
& 0.15=\mathrm{k}[0.2]^1[0.02]^1 \\
& \frac{0.15}{[0.2]^1[0.02]^1}=\mathrm{k} \\
& \mathrm{k}=37.5 \mathrm{~mol}^{-1} \mathrm{~L} \mathrm{~s}^{-1}
\end{aligned}
$
Dividing Eq (2) by Eq (1)we get,
$
\begin{aligned}
& \frac{0.30}{0.15}=\frac{\mathrm{k}[0.4]^{\mathrm{n}}[0.02]^{\mathrm{m}}}{\mathrm{k}[0.2]^{\mathrm{n}}[0.02]^{\mathrm{m}}} \\
& 2=\left(\frac{[0.4]}{[0.2]}\right)^{\mathrm{n}} \\
& 2=(2)^{\mathrm{n}} \\
& \therefore \mathrm{n}=1
\end{aligned}
$
Question 21.
How do concentrations of the reactant influence the rate of reaction?
Answer:
The rate of a reaction increases with the increase in the concentration of the reactants. The effect of concentration is explained on the basis of collision theory of reaction rates.
According to this theory, the rate of a reaction depends upon the number of collisions between the reacting molecules. Higher the concentration, greater is the possibility for collision and hence the rate.
Question 22.
How do nature of the reactant influence rate of reaction?
Answer:
Nature and state of the reactant:
We know that a chemical reaction involves breaking of certain existing bonds of the reactant and forming new bonds which lead to the product.
The net energy involved in this process is dependent on the nature of the reactant and hence the rates arc different for different reactants. Let us compare the following two reactions that we carried out in volumetric analysis.
1. Redox reaction between ferrous ammonium sulphate (FAS) and $\mathrm{KMnO}_4$
2. Redox reaction between oxalic acid and $\mathrm{KMnO}_4$
The oxidation of oxalate ion by $\mathrm{KMnO}_4$ is relatively slow compared to the reaction between $\mathrm{KMnO}_4$ and $\mathrm{Fe}$. In fact heating is required for the reaction between $\mathrm{KMnO}_4$ and Oxalate ion and is carried out at around $60^{\circ} \mathrm{C}$. The physical state of the reactant also plays an important role to influence the rate of reactions. Gas phase reactions are faster as compared to the reactions involving solid or liquid reactants.
.png)
For example, reaction of sodium metal with iodine vapours is faster than the reaction between solid sodium and solid iodine. Let us consider another example that we carried out in inorganic qualitative analysis of lead salts.
If we mix the aqueous solution of colorless potassium iodide with the colorless solution of lead nitrate, precipitation of yellow lead iodide take place instantancously, whereas if we mix the solid lead nitrate with solid potassium iodide, yellow coloration will appear slowly.
Question 23.
The rate constant for a first order reaction is $1.54 \times 10 \mathrm{~s}^{-1}$. Calculate its half life time.
Answer:
We know that, $\mathrm{t}, 0.693 \mathrm{k}$
$\mathrm{t}_{1 / 2}=0.693 / 1.54 \times 10^{-3}=450 \mathrm{~s}$
Question 24.
The half life of the homogeneous gaseous reaction $\mathrm{SO}_2 \mathrm{CI}_2 \rightarrow \mathrm{SO}_2+\mathrm{Cl}_2$ which obeys first order kinetics Is 8.0 minutes. How long will it take for the concentration of $\mathrm{SO}_2 \mathrm{Cl}_2$ to be reduced to $1 \%$ of the initial value?
Answer:
We know that, $\mathrm{k}=0.693 / \mathrm{t}_{1 / 2}$
$\mathrm{k}=0.693 / 8.0$ minutes $=0.087$ minutes ${ }^{-1}$
For a first order reaction,
$
\begin{aligned}
& \mathrm{k}=\frac{2.303}{k} \log \left(\frac{\left[A_0\right]}{[A]}\right) \\
& \mathrm{t}=\frac{2.303}{0.087 \min ^{-1}} \log \frac{100}{1} \\
& \mathrm{t}=52.93 \mathrm{~mm}
\end{aligned}
$
Question 25 .
The time for half change in a first order decomposition of a substance A is 60 seconds. Calculate the rate constant. How much of A will be left after 180 seconds?
Answer:
1. Order of a reaction $=1$
$\mathrm{t}_{1 / 2}=60$
seconds, $\mathrm{k}=$ ?
$\mathrm{k}=\frac{2.303}{60}$
We know that, $\mathrm{k}=\frac{2.303}{t_{1 / 2}}$
$
\mathrm{k}=\frac{2.303}{60}=0.01155 \mathrm{~s}^{-1}
$
2. $\left[\mathrm{A}_0\right]=100 \%$
$\mathrm{t}=180 \mathrm{~s}$
$\mathrm{k}=0.01155$ seconds $^{-1}$
$[\mathrm{A}]=$ ?
For the first order reaction $\mathrm{k}=\frac{2.303}{60} \log \left(\frac{\left[A_0\right]}{[A]}\right)$
$
\begin{aligned}
& 0.9207=\log 100-\log [\mathrm{A}] \\
& \log [\mathrm{A}]=\log 100-0.9207 \\
& \log [\mathrm{A}]=2-0.9207 \\
& \log [\mathrm{A}]=1.0973 \\
& {[\mathrm{~A}]=\operatorname{antilog} \text { of }(1.0973)} \\
& {[\mathrm{A}]=12.5 \%}
\end{aligned}
$
Question 26.
A zero order reaction is $20 \%$ complete in 20 minutes. Calculate the value of the rate constant. In what time will the reaction be $80 \%$ complete?
Answer:
1. $\mathrm{A}=100 \%, \mathrm{x}=20 \%$, Therefore, $a-x=100-20=80$
For the zero order reaction $\mathrm{k}=\left(\frac{x}{t}\right) \Rightarrow$
$
\mathrm{k}=\left(\frac{20}{20}\right)=1
$
Rate constant for a reaction $=1$
2. To calculate the time for $80 \%$ of completion $\mathrm{k}=1, \mathrm{a}=100, \mathrm{x}=80 \%, \mathrm{t}=$ ?
Therefore, $\mathrm{t}=\left(\frac{x}{k}\right)=\left(\frac{80}{1}\right)=80 \mathrm{~min}$
Question 27.
The activation energy of a reaction is $225 \mathrm{k} \mathrm{cal} \mathrm{mol}^{-1}$ and the value of rate constant at $40^{\circ} \mathrm{C}$ is $1.8 \mathrm{x}$ $10^{-5} \mathrm{~s}^{-1}$. Calculate the frequency factor, A. Here, we arc given that
Answer:
$
\begin{aligned}
& \mathrm{E}_{\mathrm{a}}=22.5 \mathrm{kcal} \mathrm{mol}^{-1}=22500 \mathrm{cal} \mathrm{mol}^{-1} \\
& \mathrm{~T}=40^{\circ} \mathrm{C}=40+273=313 \mathrm{~K} \\
& \mathrm{k}=1.8 \times 10^{-5} \mathrm{sec}^{-1}
\end{aligned}
$
Substituting the values in the equation
$
\begin{aligned}
& \log \mathrm{A}=\log \mathrm{k}+\left(\frac{E_a}{2.303 R T}\right) \\
& \log \mathrm{A}=\log \left(1.8 \times 10^{-5}\right)+\left(\frac{22500}{2.303 \times 1.987 \times 313}\right) \\
& \log \mathrm{A}=\log (1.8)-5+(15.7089) \\
& \log \mathrm{A}=(10.9642) \\
& \mathrm{A}=\text { antilog }(10.9642) \\
& \mathrm{A}=9.208 \times 10^{10} \text { collisions s } \mathrm{s}^{-1}
\end{aligned}
$
Question 28 .
Benzene diazonium chloride in aqueous solution decomposes according to the equation $\mathrm{C}_6 \mathrm{H}_5 \mathrm{~N}_2 \mathrm{CI} \mathrm{C}_6 \mathrm{H}_5 \mathrm{CI}+\mathrm{N}_2$. Starting with an initial concentration of $10 \mathrm{~g} \mathrm{~L}^{-1}$ volume of $\mathrm{N}_2$. gas obtained at $50^{\circ} \mathrm{C}$ at different intervals of time was found to be as under:
Show that the above reaction follows the first order kinetics. What is the value of the rate constant?
Solution:
For a first order reaction
$
\begin{aligned}
& \mathrm{k}=\frac{2.303}{t} \log \frac{a}{(a-x)} \\
& \mathrm{k}=\frac{2.303}{t} \log \frac{V_{\infty}}{V_{\infty}-V_t}
\end{aligned}
$
In this case, $V_{\infty}=58.3 \mathrm{ml}$
The value of $\mathrm{k}$ at different time can be calculated as follows:
.png)
Since the value of $\mathrm{k}$ comes out to be nearly constant, the given reaction is of the first order. The mean value of $\mathrm{k}=0.0674 \mathrm{~min}^{-1}$
Question 29.
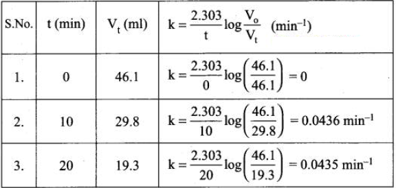
From the following data, show that the decomposition of hydrogen peroxide is a reaction of the first order:
.png)
Where $t$ is the volume of standard $\mathrm{KMnO}_4$ solution required for titrating the same volume of the reaction mixture.
Solution:
Volume of $\mathrm{KMnO}_4$ solution used Amount of $\mathrm{H}_2 \mathrm{O}_2$ present. Hence if the given reaction is of the first order, it must obey the equation
$
\begin{aligned}
& \mathrm{k}=\frac{2.303}{t} \log \frac{a}{(a-x)} \\
& \mathrm{k}=\frac{2.303}{t} \log \frac{V_0}{V_t}
\end{aligned}
$
In this case, $\mathrm{V}_0=46.1 \mathrm{ml}$
The value of $\mathrm{k}$ at each instant can be calculated as follows:
.png)
Thus, the value of $\mathrm{k}$ comes out to be nearly constant. Hence it is a reaction of the first order.
Question 30.
A first order reaction is $40 \%$ complete in 50 minutes. Calculate the value of the rate constant. in what time will the reaction be $80 \%$ complete?
Answer:
1. For the first order reaction $\mathrm{k}=\frac{2.303}{t} \log \frac{a}{(a-x)}$
Assume, $\mathrm{a}=100 \%, \mathrm{x}=40 \%, \mathrm{t}=50$ minutes
Therefore, $a-x=100-40=60$
$\mathrm{k}=(2.303 / 50) \log (100 / 60)$
$\mathrm{k}=0.010216 \mathrm{~min}^{-1}$
Hence the value of the rate constant is $0.010216 \mathrm{~min}^{-1}$
2. $\mathrm{t}=$ ?, when $\mathrm{x}=80 \%$
Therefore, $a-x=100-80=20$
From above, $\mathrm{k}=0.010216 \mathrm{~min}^{-1}$
$\mathrm{t}=(2.303 / 0.010216) \log (100 / 20)$
$\mathrm{t}=157.58 \mathrm{~min}$
The time at which the reaction will be $80 \%$ complete is $157.58 \mathrm{~min}$.
Evaluate yourself
Question 1.
Write the rate expression for the following reactions, assuming them as elementary reactions.
1. $3 \mathrm{~A}+5 \mathrm{~B}_2 \rightarrow 4 \mathrm{CD}$
2. $\mathrm{X}_2+\mathrm{Y}_2 \rightarrow 2 \mathrm{XY}$
Answer:
$
\begin{aligned}
& \text { 1. } 3 \mathrm{~A}+5 \mathrm{~B}_2 \rightarrow 4 \mathrm{CD} \\
& \text { Rate }=-\frac{1}{3} \frac{\Delta[A]}{d t}
\end{aligned}
$
$
\begin{aligned}
& =-\frac{1}{5} \frac{\Delta\left[B_2\right]}{d t} \\
& =+\frac{1}{4} \frac{\Delta[C D]}{d t}
\end{aligned}
$
$
\begin{aligned}
& \text { 2. } \mathrm{X}_2+\mathrm{Y}_2 \rightarrow 2 \mathrm{XY} \\
& \text { Rate }=-\frac{\Delta\left[X_2\right]}{d t} \\
& =+\frac{1}{2}[\text { latex }] \frac{\Delta\left[X Y_2\right]}{d t}
\end{aligned}
$
Question 2.
Consider the decomposition of $\mathrm{N}_2 \mathrm{O}_{5(\mathrm{~g})}$ to form $\mathrm{NO}_{2(\mathrm{~g})}$ and $\mathrm{O}_{2(\mathrm{~g})}$. At a particular instant $\mathrm{N}_2 \mathrm{O}_5$ disappears at a rate of $2.5 \times 10^{-2} \mathrm{~mol} \mathrm{dm}^{-3} \mathrm{~s}^{-1}$. At what rates are $\mathrm{NO}_2$ and $\mathrm{O}_2$ formed? What is the rate of the reaction?
Solution:
$
2 \mathrm{~N}_2 \mathrm{O}_{5(\mathrm{~g})} \rightarrow 4 \mathrm{NO}_{2(\mathrm{~g})}+\mathrm{O}_{2(\mathrm{~g})}
$
from the stoichiometry of the reaction.
$
\begin{aligned}
& -\frac{1}{2} \frac{d\left[N_2 O_5\right]}{d t} \\
& =\frac{1}{4} \frac{d\left[N O_2\right]}{d t} \\
& =-\frac{d\left[N O_2\right]}{d t} \\
& =2-\frac{d\left[N_2 O_5\right]}{d t}
\end{aligned}
$
Rate of disappearance of $\mathrm{N}_2 \mathrm{O}_5$ is $2.5 \times 10^{-2} \mathrm{~mol} \mathrm{dm}^{-3} \mathrm{~s}^{-1}$
$\therefore$ The rate of formation of $\mathrm{NO} 2$ at this temperature is $2 \times 2.5 \times 10^{-2}=5 \times 10^{-2} \mathrm{~mol} \mathrm{dm}^{-3} \mathrm{~s}^{-1}$.
$
\begin{aligned}
& -\frac{1}{2} \frac{d\left[N_2 O_5\right]}{d t} \\
& =-\frac{d\left[O_2\right]}{d t} \\
& \therefore \frac{d\left[O_2\right]}{d t}=\frac{1}{2} \times 2.5 \times 10^{-2} \mathrm{~mol} \mathrm{dm}^{-3} \mathrm{~s}^{-1} \\
& =1.25 \times 10^{-2} \mathrm{~mol} \mathrm{dm}^{-3} \mathrm{~s}^{-1}
\end{aligned}
$
Question 3.
For a reaction, $\mathrm{X}+\mathrm{Y} \rightarrow$ Product quadrupling $[\mathrm{x}]$, increases the rate by a factor of 8 . Quailrupling both $[\mathrm{x}]$ and $[\mathrm{y}]$ increases the rate by a factor of 16 . Find the order of the reaction with respect to $\mathrm{x}$ and $y$. what is the overall order of the reaction?
Solution:
$
\begin{aligned}
& x+y \rightarrow \text { Product }(z) \\
& x+y \rightarrow z \\
& \text { Condition }-1 \Rightarrow 4 x+y \rightarrow 8 \\
& \text { Condition }-2 \Rightarrow 4 x+4 y \rightarrow 16 \\
& \mathrm{z}=\mathrm{k}[\mathrm{x}]^{\mathrm{m}}[\mathrm{y}]^{\mathrm{n}} \\
& 8 \mathrm{z}=\mathrm{k}[\mathrm{x}]^{\mathrm{m}}[\mathrm{y}]^{\mathrm{n}} \\
& 16 \mathrm{z}=\mathrm{k}[\mathrm{x}]^{\mathrm{m}}[\mathrm{y}]^{\mathrm{n}} \\
&
\end{aligned}
$
Dividing $\mathrm{Eq}(2)$ by $\mathrm{Eq}(1)$ we get
$
\begin{aligned}
& \frac{8 z}{z}=\frac{\mathrm{k}[4 x]^{\mathrm{m}}[y]^{\mathrm{n}}}{\mathrm{k}[x]^{\mathrm{m}}[y]^{\mathrm{n}}} \\
& 8=4^{\mathrm{m}} \Rightarrow 2^3=\left(2^2\right) \mathrm{m} \Rightarrow 2=2^{2 \mathrm{~m}} \\
& 2 \mathrm{~m}=3 \\
& \mathrm{~m}=3 / 2 \\
& 1.5 \text { order with respect to } \mathrm{x} \text {. } \\
& \text { Dividing Eq (3) by Eq (1) we get, } \\
& \frac{16 z}{z}=\frac{\mathrm{k}[4 x]^{\mathrm{m}}[4 y]^{\mathrm{n}}}{\mathrm{k}[x]^{\mathrm{m}}[y]^{\mathrm{n}}} \\
& 16=4^{\mathrm{m}} \cdot 4^{\mathrm{n}} \\
& 16=4^2 .4^{\mathrm{n}} \\
& \frac{16}{16}=4^{\mathrm{n}} \\
& 1=4 \mathrm{n} \\
& \therefore \mathrm{n}=0[\text { Zero order with respect to } \mathrm{y}] \\
& \text { Overall order of the reaction. } \\
& \mathrm{k}[\mathrm{x}]^{\mathrm{m}}[\mathrm{y}]^{\mathrm{n}} \\
& \mathrm{k}[\mathrm{x}]^{1.5}[\mathrm{y}]^0 \\
& \text { Order }(1.5+0)=1.5
\end{aligned}
$
Question 4.
Find the individual and overall order of the following reaction using the given data.
$
2 \mathrm{NO}(\mathrm{g})+\mathrm{Cl}_2(\mathrm{~g}) \rightarrow 2 \mathrm{NOCI}(\mathrm{g})
$
.png)
Solution:
$
\text { Rate }=\mathrm{k}[\mathrm{NO}]^{\mathrm{m}}\left[\mathrm{CI}_2\right]
$
For experiment 1 , the rate law is,
$
\begin{aligned}
& \text { Rate }_1=\mathrm{k}[\mathrm{NO}]^{\mathrm{m}}\left[\mathrm{CI}_2\right]^{\mathrm{n}} \\
& 7.8 \times 10^{-5} \mathrm{k}[0.1]^{\mathrm{m}}[0.1]^{\mathrm{n}} .
\end{aligned}
$
For experiment 2 , the rate law is.
$
\begin{aligned}
& \text { Rate }_2=\mathrm{k}[\mathrm{NO}]^{\mathrm{m}}\left[\mathrm{CI}_2\right]^{\mathrm{n}} \\
& 3.12 \times 10^{-4}=\mathrm{k}[\mathrm{O} .2]^{\mathrm{m}}[0.1]^{\mathrm{n}}
\end{aligned}
$
For experiment 3 , the rate law is,
$
\text { Rate }_3=\mathrm{k}[\mathrm{NO}]^{\mathrm{m}}\left[\mathrm{CI}_2\right]^{\mathrm{n}}
$
$
9.36 \times 10^{-4}=\mathrm{k}[\mathrm{O} .2]^{\mathrm{m}}[0.3]^{\mathrm{m}}
$
Dividing $\mathrm{Eq}$ (2) by Eq (1) we get,
$
\begin{aligned}
& \frac{3.12 \times 10^{-4}}{7.8 \times 10^{-5}}=\frac{\mathrm{k}[0.2]^{\mathrm{m}}[0.1]^{\mathrm{n}}}{\mathrm{k}[0.1]^{\mathrm{m}}[0.1]^{\mathrm{n}}} \\
& 4=\frac{0.2}{0.1} \mathrm{~m} \\
& \Rightarrow 2^2=2^{\mathrm{m}} \\
& \therefore \mathrm{m}=2
\end{aligned}
$
Therefore the reaction is secondary order with respect to NO.
Dividing $\mathrm{Eq}$ (3) by Eq (2) we get,
$
\frac{9.36 \times 10^{-4}}{3.12 \times 10^{-4}}=\frac{k[0.2]^{\mathrm{m}}[0.3]^{\mathrm{n}}}{\mathrm{k}[0.2]^{\mathrm{m}}[0.1]^{\mathrm{n}}}
$
Therefore the reaction is first order with respect to $\mathrm{Cl}_2$
The rate law is, Rate $=\mathrm{k}[\mathrm{NO}]_2\left[\mathrm{Cl}_2\right]^1$
The overall order of the reaction $(2+1)=3$.
Question 5.
In a first order reaction $A \rightarrow$ products, $60 \%$ of the given sample of $\mathrm{A}$ decomposes in $40 \mathrm{~min}$. what is the half life of the reaction?
Solution:
$
\begin{aligned}
& \mathrm{k}=\frac{2.303}{t} \log \frac{\left[\mathrm{A}_0\right]}{[\mathrm{A}]} \\
& \mathrm{k}=\frac{2.303}{40 \min } \log \frac{100}{(100-60)} \\
& \mathrm{k}=0.0575(0.3979) \Rightarrow \mathrm{k}=0.02287 \mathrm{~min}^{-1} \\
& \mathrm{t}_{1 / 2}=\frac{0.6932}{k} \log \frac{0.6932}{0.02287} \\
& \mathrm{t}_{1 / 2}=30.31 \mathrm{~min} .
\end{aligned}
$
Question 6.
The rate constant for a first order reaction is $2.3 \times 10^{-4} \mathrm{~s}^{-1}$. If the initial concentration of the reactant is $0.01 \mathrm{M}$. what concentration will remain after 1 hour?
Solution:
Rate constant of a first order reaction $\mathrm{k}=2.3 \times 10^{-4} \mathrm{~s}^{-1}$
Initial concentration of the reactant $\left[\mathrm{A}_0\right]=0.01 \mathrm{M}$
Initial concentration ot the reactant $\left[\mathrm{A}_0\right]=0.01 \mathrm{M}$
Concentration will remain after 1 hour $[\mathrm{A}]=7$
$
\begin{aligned}
& \mathrm{k}=\frac{2.303}{t} \log \frac{\left[\mathrm{A}_0\right]}{[\mathrm{A}]} \\
& 2.3 \times 10^{-4}=\frac{2.303}{1 h o u r} \log \frac{[0.01]}{[A]} \\
& \frac{2.3 \times 10^{-4} \times 1}{2.303}=\log [0.01]-\log [\mathrm{A}] \\
& 9.986 \times 10^{-5}=-2-\log [\mathrm{A}] \\
& 11.986 \times 10^{-5}=-\log [\mathrm{A}]
\end{aligned}
$
$
\begin{aligned}
& {[\mathrm{A}]=\operatorname{Antilog}\left(-11.986 \times 10^{-5}\right)} \\
& {[\mathrm{A}]=0.997 \mathrm{M}}
\end{aligned}
$
Question 7.
Hydrolysis of an ester in an aqueous solution was studied by titrating the liberated carboxylic acid against sodium hydroxide solution. The concentrations of the ester at different time intervals are given below.
.png)
Show that, the reaction follows first order kinetics.
Solution:
The value of $\mathrm{k}$ at different time can be calculated as follows:
.png)
This value shows that reaction follows first order kinetics.
Question 8.
For a first order reaction the rate constant at $500 \mathrm{~K}$ is $8 \times 10^{-4} \mathrm{~s}^{-1}$. Calculate the frequency factor, if the energy of activation for the reaction is $190 \mathrm{~kJ} \mathrm{~mol}^{-1}$.
$
\begin{aligned}
& \mathrm{k}=8 \times 10^{-4} \mathrm{~s} \\
& \mathrm{~T}=500 \mathrm{~K} \\
& \mathrm{E}_{\mathrm{a}}=190 \mathrm{~kJ} \mathrm{~mol}^{-1} \mathrm{~A}=?
\end{aligned}
$
According to Arrhenius equation,
$
\begin{aligned}
\mathrm{k} & =\mathrm{Ae}^{-\mathrm{E}_{\mathrm{a}} / \mathrm{RT}} \\
\ln \mathrm{k} & =\ln \mathrm{A}-\frac{\mathrm{E}_{\mathrm{a}}}{\mathrm{RT}} \\
\log \mathrm{k} & =\log \mathrm{A}-\frac{\mathrm{E}_{\mathrm{a}}}{2.303 \mathrm{RT}} \\
\log \mathrm{A} & =\log \mathrm{k}+\frac{\mathrm{E}_{\mathrm{a}}}{2.303 \mathrm{RT}} \\
& =\log \left(8 \times 10^{-4}\right)+\frac{190}{2.303 \times 8.314 \times 10^{-3} \mathrm{~kJ} / \mathrm{K}^{-1} \times 500} \\
\log \mathrm{A} & =-3.096+\frac{190}{9573.57 \times 10^{-3}} \\
\log \mathrm{A} & =16.744 \\
\mathrm{~A} & =\mathrm{Antilog}(16.744) \\
\mathrm{A} & =5.546 \times 10^{16} \mathrm{~s}^{-1}
\end{aligned}
$
