Exercise 3.10 - Chapter 3 - Trigonometry - 11th Maths Guide Samacheer Kalvi Solutions
Updated On 26-08-2025 By Lithanya
You can Download the Exercise 3.10 - Chapter 3 - Trigonometry - 11th Maths Guide Samacheer Kalvi Solutions with expert answers for all chapters. Perfect for Tamil & English Medium students to revise the syllabus and score more marks in board exams. Download and share it with your friends
Share this to Friend on WhatsApp
$\operatorname{Ex} 3.10$
Question 1.
Determine whether the following measurements produce one triangle, two triangles or no triangle: $\angle \mathrm{B}=88^{\circ}, \mathrm{a}=23, \mathrm{~b}=2$. Solve if solution exists.
Solution:
We are given $\mathrm{a}=23$,
$\mathrm{b}=2$, and
$\angle \mathrm{B}=88^{\circ}$.
So we can
$
\begin{aligned}
& \text { (i.e.) } \frac{a}{\sin \mathrm{A}}=\frac{b}{\sin \mathrm{B}} \\
& \Rightarrow \quad \frac{23}{\sin A}=\frac{2}{\sin 88^{\circ}}=\frac{2}{(1)} \\
& {\left[\because \sin 90^{\circ}=\sin 88^{\circ} \text { is near } x\right]} \\
& \Rightarrow \quad \sin A=\frac{23}{2} \text { which is not possible } \\
&
\end{aligned}
$
Question 2.
If the sides of a $\triangle A B C$ are $\mathrm{a}=4, \mathrm{~b}=6$ and $\mathrm{c}=8$, then show that $4 \cos \mathrm{B}+3 \cos \mathrm{C}=2$.
Solution:
$
\begin{aligned}
& a=4 \\
& b=6 \\
& c=8
\end{aligned}
$
To prove $4 \cos \mathrm{B}+3 \cos \mathrm{C}=2$
$
\begin{aligned}
\cos \mathrm{B} & =\frac{a^2+c^2-b^2}{2 a c}=\frac{16+64-36}{2(4)(8)}=\frac{80-36}{64}=\frac{44}{64}=\frac{11}{16} \\
\cos \mathrm{C} & =\frac{a^2+b^2-c^2}{2 a b}=\frac{16+36-64}{2(4)(6)} \\
& =\frac{-12}{48}=-\frac{1}{4}
\end{aligned}
$
So LHS $=4 \cos \mathrm{B}+3 \cos \mathrm{C}$
$
\begin{aligned}
& =4\left(\frac{11}{16}\right)+3\left(-\frac{1}{4}\right) \\
& =\frac{11}{4}-\frac{3}{4}=\frac{8}{4}=2=\mathrm{RHS}
\end{aligned}
$
Question 3.
In a $\triangle \mathrm{ABC}$, if $\mathrm{a}=\sqrt{3}-1, \mathrm{~b}=\sqrt{3}+1$ and $\mathrm{C}=60^{\circ}$, find the other side and other two angles.
Solution:
$
\begin{aligned}
& \cos \mathrm{C}=\frac{a^2+b^2-c^2}{2 a b} \Rightarrow \cos 60^{\circ}=\frac{1}{2}=\frac{(3+1-2 \sqrt{3})+(3+1+2 \sqrt{3})-c^2}{2(\sqrt{3}-1)(\sqrt{3}+1)} \\
& \Rightarrow \quad \frac{8-c^2}{2(3-1)}=\frac{1}{2} \Rightarrow \frac{8-c^2}{4}=\frac{1}{2} \\
& 4=16-2 c^2 \\
& 2 c^2=16-4=12 \\
& c^2=\frac{12}{2}=6 ; c=\sqrt{6} \\
& \text { Now } \frac{a}{\sin \mathrm{A}}=\frac{c}{\sin \mathrm{C}} \\
& \text { (i.e.) } \frac{\sqrt{3}-1}{\sin A}=\frac{\sqrt{6}}{\sin 60^{\circ}} \\
& \frac{\sqrt{3}-1}{\sin A}=\frac{\sqrt{3} \sqrt{2}}{\sqrt{3} / 2}=2 \sqrt{2} \\
& \Rightarrow \quad \sin \mathrm{A}=\frac{\sqrt{3}-1}{2 \sqrt{2}} \Rightarrow A=15^{\circ} \\
& \text { Now } \mathrm{A}=15^{\circ} ; \mathrm{C}=60^{\circ} \\
& \therefore \mathrm{B}=180^{\circ}-\left(15+60^{\circ}\right)=105^{\circ} \\
&
\end{aligned}
$
Question 4.
In any $\triangle A B C$, prove that the area $\Delta=\frac{b^2+c^2-a^2}{4 \cot A}$.
Solution:
$
\begin{aligned}
& \mathrm{RHS}=\frac{b^2+c^2-a^2}{4 \cot \mathrm{A}} \\
& \frac{b^2+c^2-a^2}{2 b c}=\cos \mathrm{A} \\
& \therefore b^2+c^2-a^2=2 b c \cos \mathrm{A} \\
& \text { Now } \frac{b^2+c^2-a^2}{4 \cot \mathrm{A}}=\frac{2 b c \cos \mathrm{A}}{4 \frac{\cos \mathrm{A}}{\sin \mathrm{A}}}=\frac{1}{2} b c \sin \mathrm{A} \\
& =\text { area of } \Delta=\mathrm{LHS} \\
&
\end{aligned}
$
Question 5 .
In a $\triangle A B C$, if a $=12 \mathrm{~cm}, \mathrm{~b}=8 \mathrm{~cm}$ and $\mathrm{C}=30^{\circ}$, then show that its area is $24 \mathrm{sq} . \mathrm{cm}$.
Solution:
$
\begin{aligned}
& a=12 \mathrm{~cm}, \\
& \mathrm{~b}=8 \mathrm{~cm}, \\
& \mathrm{C}=30^{\circ}
\end{aligned}
$
$
\begin{aligned}
\text { Area of } \triangle \mathrm{ABC} & =\frac{1}{2} a b \sin \mathrm{C} \\
& =\frac{1}{2} \times 12 \times 8 \times \sin 30^{\circ} \\
& =\frac{1}{2} \times 12 \times 8 \times \frac{1}{2} \\
& =\frac{96}{4}=24 \text { sq. } \mathrm{cm}
\end{aligned}
$
Question 6.
In a $\triangle \mathrm{ABC}$, if $\mathrm{a}=18 \mathrm{~cm}, \mathrm{~b}=24 \mathrm{~cm}$ and $\mathrm{c}=30 \mathrm{~cm}$, then show that its area is $216 \mathrm{sq} . \mathrm{cm}$. Solution:
$
\begin{aligned}
& \mathrm{a}=18 \mathrm{~cm}, \\
& \mathrm{~b}=24 \mathrm{~cm}, \\
& \mathrm{c}=30 \mathrm{~cm}
\end{aligned}
$
The sides form a right angled triangle
$
\begin{aligned}
\therefore \text { Area } & =\frac{1}{2} \times a \times b \\
& =\frac{1}{2} \times 18 \times 24 \\
& =216 \text { sq. } \mathrm{cm}
\end{aligned}
$
Question 7.
Two soldiers $\mathrm{A}$ and $\mathrm{B}$ in two different underground bunkers on a straight road, spot an intruder at the top of a hill. The angle of elevation of the intruder from A and B to the ground level in the eastern direction are $30^{\circ}$ and $45^{\circ}$ respectively. If $\mathrm{A}$ and $\mathrm{B}$ stand $5 \mathrm{~km}$ apart, find the distance of the intruder from $\mathrm{B}$.
Solution:
By using sine formula
$
\frac{x}{\sin 30^{\circ}}=\frac{5}{\sin 15^{\circ}}
$
.png)
$
\begin{aligned}
& \text { (i.e.) } \frac{x}{1 / 2}=\frac{5}{\sin 15^{\circ}} \\
& x \sin 15^{\circ}=\frac{5}{2} \\
& \sin 15^{\circ}=\sin \left(45^{\circ}-30^{\circ}\right)=\sin 45^{\circ} \cos 30^{\circ}-\cos 45^{\circ} \sin 30^{\circ} \\
& =\frac{1}{\sqrt{2}} \frac{\sqrt{3}}{2}-\frac{1}{\sqrt{2}} \frac{1}{2}=\frac{\sqrt{3}}{2 \sqrt{2}}-\frac{1}{2 \sqrt{2}}=\frac{\sqrt{3}-1}{2 \sqrt{2}} \\
& \text { Substituting } \sin 15^{\circ} \text { value in (1) we get } x\left[\frac{\sqrt{3}-1}{2 \sqrt{2}}\right]=\frac{5}{2} \Rightarrow x=\frac{\frac{5}{2} \times 2 \sqrt{2}}{\sqrt{3}-1}=\frac{5 \sqrt{2}}{\sqrt{3}-1} \mathrm{~km} \\
&
\end{aligned}
$
Question 8 .
A researcher wants to determine the width of a pond from east to west, which cannot be done by actual measurement. From a point $P$, he finds the distance to the eastern-most point of the pond to be $8 \mathrm{~km}$, while the distance to the western most point from $P$ to be $6 \mathrm{~km}$. If the angle between the two lines of sight is $60^{\circ}$, find the width of the pond.
Solution:
$
\begin{aligned}
& \mathrm{p}^2=\mathrm{W}^2+\mathrm{E}^2-2 W E \cos \mathrm{P} \\
& \mathrm{P}^2=64+36-2 \times 8 \times 6 \times \operatorname{Cos} 60^{\circ}
\end{aligned}
$
.png)
$
\begin{aligned}
& =100-96 \times \frac{1}{2}=100-48=52 \\
\Rightarrow & P=\sqrt{52}=\sqrt{4 \times 13}=2 \sqrt{13} \mathrm{~km}
\end{aligned}
$
Question 9
Two Navy helicopters A and B are flying over the Bay of Bengal at same altitude from the sea level to search a missing boat. Pilots of both the helicopters sight the boat at the same time while they are apart $10 \mathrm{~km}$ from each other. If the distance of the boat from A is $6 \mathrm{~km}$ and if the line segment $\mathrm{AB}$ subtends $60^{\circ}$ at the boat, find the distance of the boat from B.
Solution:
.png)
Here $a=x, b=6, c=10$
By using cosine formula
$\begin{aligned} c^2 & =a^2+b^2-2 a b \cos 60^{\circ} \\ \text { (i.e.) } \quad 100 & =x^2+36-2 \times x \times 6 \times \frac{1}{2}\end{aligned}$
(i.e.) $x^2-6 x-64=0$
$x=\frac{6 \pm \sqrt{36+256}}{2}$
(i.e.) $x=\frac{6 \pm \sqrt{292}}{2}=\frac{2(3 \pm \sqrt{73})}{2}$
$\Rightarrow \quad x=3+\sqrt{73} \mathrm{~km}$ (as $3-\sqrt{73}$ is not possible)
Question 10 .
A straight tunnel is to be made through a mountain. A surveyor observes the two extremities $\mathrm{A}$ and $\mathrm{B}$ of the tunnel to be built from a point $\mathrm{P}$ in front of the mountain. If $\mathrm{AP}=3 \mathrm{~km}, \mathrm{BP}=5 \mathrm{~km}$ and $\angle \mathrm{APB}=$ $120^{\circ}$, then find the length of the tunnel to be built.
Solution:
$
\begin{aligned}
& \mathrm{p}^2=\mathrm{a}^2+\mathrm{b}^2-2 a b \cos \mathrm{P} \\
& \mathrm{p}^2=9+25-30 \operatorname{Cos} 120^{\circ} \\
& \mathrm{p}^2=9+25-30(-1 / 2)=34+15=49
\end{aligned}
$
.png)
$
\Rightarrow \mathrm{p}=\sqrt{49}=7 \mathrm{~km}
$
Question 11.
A farmer wants to purchase a triangular shaped land with sides 120 feet and 60 feet and the angle included between these two sides is $60^{\circ}$. If the land costs ? 500 per sq.ft, find the amount he needed to purchase the land. Also find the perimeter of the land.
Solution:
$
\text { Area }=\frac{1}{2} a b \sin \mathrm{C}
$
.png)
$
\begin{aligned}
& =\frac{1}{2} \times 120 \times 60 \times \sin 60^{\circ} \\
& =3600 \times \frac{\sqrt{3}}{2}=1800 \times 1.732=3117.6 \text { sq. ft }
\end{aligned}
$
Cost of the land $=3117.6 \times 500=₹ 155880$
Length of the third side $c$ :
$
\begin{aligned}
c^2 & =a^2+b^2-2 a b \cos \mathrm{C} \\
& =120^2+60^2-2\left(120^{\circ}\right)\left(60^{\circ}\right) \cos 60^{\circ} \\
& =14400+3600-2 \times 120 \times 60 \times \frac{1}{2} \\
& =18000-7200=10800 \\
c & =\sqrt{10800}=10 \sqrt{108} \\
& =10 \times 6 \sqrt{3}=60 \sqrt{3} .
\end{aligned}
$
Perimeter $=a+b+c=120+60+60 \sqrt{3}=180+20 \sqrt{27}$ feet
Question 12.
A fighter jet has to hit a small target by flying a horizontal distance. When the target is sighted, the pilot measures the angle of depression to be $30^{\circ}$. If after $100 \mathrm{~km}$, the target has an angle of depression of $60^{\circ}$, how far is the target from the fighter jet at that instant?
Solution:
Using $\sin$ formula, $\frac{a}{\sin \mathrm{A}}=\frac{b}{\sin \mathrm{B}}=\frac{c}{\sin \mathrm{C}}$
$
\Rightarrow \quad \frac{100}{\sin 30^{\circ}}=\frac{d}{\sin 30^{\circ}} \Rightarrow d=100 \mathrm{~km}
$
II method: In $\triangle \mathrm{ABT}$
$
\begin{aligned}
& \angle \mathrm{A}=\angle \mathrm{ATB}=30^{\circ} \quad \text { (an isosceles triangle) } \\
& \therefore \mathrm{AB}=\mathrm{BT} \\
& \Rightarrow d=100 \mathrm{~km}
\end{aligned}
$
.png)
Question 13.
A plane is $1 \mathrm{~km}$ from one landmark and $2 \mathrm{~km}$ from another. From the planes point of riew the land between them subtends an angle of $60^{\circ}$. How far apart are the landmarks?
Solution:
.png)
$\begin{aligned}
c^2 & =a^2+b^2-2 a b \cos \mathrm{C} \\
c^2 & =1+4-2(1)(2) \cos 45^{\circ} \\
& =5-4 \times \frac{1}{\sqrt{2}}=5-\frac{4}{\sqrt{2}} \times \frac{\sqrt{2}}{\sqrt{2}}=5-2 \sqrt{2} \\
\therefore c & =\sqrt{5-2 \sqrt{2}} \mathrm{~km}
\end{aligned}$
Question 14.
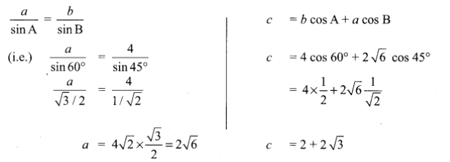
A man starts his morning walk at a point $\mathrm{A}$ reaches two points $\mathrm{B}$ and $\mathrm{C}$ and finally back to $\mathrm{A}$ such that $\angle A=60^{\circ}$ and $\angle B=45^{\circ}, \mathrm{AC}=4 \mathrm{~km}$ in the $\triangle \mathrm{ABC}$. Find the total distance he covered during his morning walk.
.png)
.png)
Total distance covered $=a+b+c$
$
\begin{aligned}
& =2 \sqrt{6}+4+2+2 \sqrt{3} \\
& =6+2 \sqrt{6}+2 \sqrt{3} \mathrm{~km}
\end{aligned}
$
Question 15.
Two vehicles leave the same place $P$ at the same time moving along two different roads. One vehicle moves at an average speed of $60 \mathrm{~km} / \mathrm{hr}$ and the other vehicle moves at an average speed of $80 \mathrm{~km} / \mathrm{hr}$. After half an hour the vehicle reach the destinations $\mathrm{A}$ and $\mathrm{B}$. If $\mathrm{AB}$ subtends $60^{\circ}$ at the initial point $P$, then find $\mathrm{AB}$.
Solution:
.png)
Speed of vehicle $A=60 \mathrm{~km} / \mathrm{hr}$
Distance (AP) travelled in half an hour $=\frac{60}{2}=30 \mathrm{~km}$
Speed of vehicle $B=80 \mathrm{~km} / \mathrm{hr}$
Distance $(\mathrm{PB})$ travelled in half an hour
$
\begin{aligned}
&=\frac{80}{2}=40 \mathrm{~km} \\
& \mathrm{AB}^2=\mathrm{AP}^2+\mathrm{PB}^2-2(\mathrm{AP})(\mathrm{PB}) \cos 60^{\circ} \\
&=30^2+40^2-2(30)(40)\left(\frac{1}{2}\right) \\
&=900+1600-1200=1300 \\
& \therefore \mathrm{AB}=\sqrt{1300}=10 \sqrt{13} \mathrm{~km}
\end{aligned}
$
Distance between two destinations after one hour $=10 \sqrt{13}+10 \sqrt{13}=20 \sqrt{13} \mathrm{~km}$
Question 16.
Suppose that a satellite in space, an earth station and the centre of earth all lie in the same plane. Let $r$ be the radius of earth and $R$ be the distance from the centre of earth to the satellite. Let $d$ be the distance from the earth station to the satellite. Let $30^{\circ}$ be the angle of elevation from the earth station to the satellite. If the line segment connecting earth station and satellite subtends angle $\alpha$ at the centre of earth, then prove that
$
d=R \sqrt{1+\left(\frac{r}{R}\right)^2-2 \frac{r}{R} \cos \alpha .}
$
Solution:
.png)
$\begin{aligned}
d^2 & =r^2+\mathrm{R}^2-2 \mathrm{R} r \cos \alpha \\
& =\mathrm{R}^2\left(\frac{r^2}{\mathrm{R}^2}+1-\frac{2 r}{\mathrm{R}} \cos \alpha\right) \\
d & =\mathrm{R} \sqrt{\frac{r^2}{\mathrm{R}^2}+1-\frac{2 r}{\mathrm{R}} \cos \alpha}
\end{aligned}$
