Miscellaneous Exercise (Revised) - Chapter 9 - Differential Equations - Ncert Solutions class 12 - Maths
Updated On 26-08-2025 By Lithanya
You can Download the Miscellaneous Exercise (Revised) - Chapter 9 - Differential Equations - Ncert Solutions class 12 - Maths with expert answers for all chapters. Perfect for Tamil & English Medium students to revise the syllabus and score more marks in board exams. Download and share it with your friends
Share this to Friend on WhatsApp
NCERT Class 12 Maths Solutions: Chapter 9 - Differential Equations
Miscellaneous Exercise Question 1.
For each of the differential equations given below, indicate its order and degree (if defined):
(i) $\frac{d^2 y}{d x^2}+5 x\left(\frac{d y}{d x}\right)^2-6 y=\log x$
(ii) $\left(\frac{d y}{d x}\right)^3-4\left(\frac{d y}{d x}\right)^2+7 y=\sin x$
(iii) $\frac{d^4 y}{d x^4}-\sin \left(\frac{d^3 y}{d x^3}\right)=0$
Answer.
(i) Given: Differential equation $\frac{d^2 y}{d x^2}+5 x\left(\frac{d y}{d x}\right)^2-6 y=\log x$
The highest order derivative present in this differential equation is $\frac{d^2 y}{d x^2}$ and hence order of this differential equation if 2 .
The given differential equation is a polynomial equation in derivatives and highest power of the highest order derivative $\frac{d^2 y}{d x^2}$ is 1 .
Therefore, Order $=2$, Degree $=1$
(ii) Given: Differential equation $\left(\frac{d y}{d x}\right)^3-4\left(\frac{d y}{d x}\right)^2+7 y=\sin x$
The highest order derivative present in this differential equation is $\frac{d y}{d x}$ and hence order of this differential equation if 1 .
The given differential equation is a polynomial equation in derivatives and highest power of the highest order derivative $\frac{d y}{d x}$ is 3 .
Therefore, Order $=1$, Degree $=3$
(iii) Given: Differential equation $\frac{d^4 y}{d x^4}-\sin \left(\frac{d^3 y}{d x^3}\right)=0$
The highest order derivative present in this differential equation is $\frac{d^4 y}{d x^4}$ and hence order of this differential equation if 4 .
The given differential equation is not a polynomial equation in derivatives therefore, degree of this differential equation is not defined.
Therefore, Order = 4, Degree not defined
Miscellaneous Exercise Question 2.
For each of the exercises given below verify that the given function (implicit or explicit) is a solution of the corresponding differential equation:
(i) $x y=a e^x+b e^{-x}+x^2: x \frac{d^2 y}{d x^2}+2 \frac{d y}{d x}-x y+x^2-2=0$
(ii) $y=e^x(a \cos x+b \sin x): \frac{d^2 y}{d x^2}-2 \frac{d y}{d x}+2 y=0$
(iii) $y=x \sin 3 x: \frac{d^2 y}{d x^2}+9 y-6 \cos 3 x=0$
(iv) $x^2=2 y^2 \log y:\left(x^2+y^2\right) \frac{d y}{d x}-x y=0$
Answer.
(i) The given function is $x y=a e^x+b e^{-x}+x^2$
To verify: Function (i) is a solution of D.E. $\frac{d^2 y}{d x^2}+2 \frac{d y}{d x}-x y+x^2-2=0$
Differentiating both sides of eq. (i) w.r.t. $x, x \frac{d y}{d x}+y .1=a e^x+b e^{-x}+2 x$
Again differentiating both sides w.r.t. $x$,
$
\begin{aligned}
& x \frac{d^2 y}{d x^2}+\frac{d y}{d x} \cdot 1+\frac{d y}{d x}=a e^x+b e^{-x}+2 \\
& \Rightarrow x \frac{d^2 y}{d x^2}+2 \frac{d y}{d x}=a e^x+b e^{-x}+2
\end{aligned}
$
Putting $a e^x+b e^{-x}=x y-x^2$ from eq. (i), we have,
$
\begin{aligned}
& x \frac{d^2 y}{d x^2}+2 \frac{d y}{d x}=x y-x^2+2 \\
& \Rightarrow \frac{d^2 y}{d x^2}+2 \frac{d y}{d x}-x y+x^2-2=0
\end{aligned}
$
Therefore, Function given by eq. (i) is a solution of D.E. (ii).
(ii) The given function is $y=e^x(a \cos x+b \sin x)$
To verify: Function given by (i) is a solution of D.E. $\frac{d^2 y}{d x^2}-2 \frac{d y}{d x}+2 y=0$
From (i), $\frac{d y}{d x}=\frac{d}{d x} e^x(a \cos x+b \sin x)+e^x \frac{d}{d x}(a \cos x+b \sin x)$
$\Rightarrow \frac{d y}{d x}=e^x(a \cos x+b \sin x)+e^x(-a \sin x+b \cos x)$
$
\begin{aligned}
& \Rightarrow \frac{d y}{d x}=y+e^x(-a \sin x+b \cos x) \text { [By eq. (i)] .........(iii) } \\
& \Rightarrow \frac{d^2 y}{d x^2}=\frac{d y}{d x}+e^x(-a \sin x+b \cos x)+e^x(-a \cos x-b \sin x) \\
& \Rightarrow \frac{d^2 y}{d x^2}=\frac{d y}{d x}+e^x(-a \sin x+b \cos x)-e^x(a \cos x+b \sin x) \\
& \Rightarrow \frac{d^2 y}{d x^2}=\frac{d y}{d x}+\left(\frac{d y}{d x}-y\right)-y[\text { Using eq. (iii) and (i)] } \\
& \Rightarrow \frac{d^2 y}{d x^2}=2 \frac{d y}{d x}-2 y \\
& \Rightarrow \frac{d^2 y}{d x^2}-2 \frac{d y}{d x}+2 y=0
\end{aligned}
$
Therefore, Function given by eq. (i) is a solution of D.E. (ii).
(iii) The given function is $y=x \sin 3 x$ $\qquad$
To verify: Function given by eq. (i) is a solution of D.E. $\frac{d^2 y}{d x^2}+9 y-6 \cos 3 x=0$
From eq. (i), $\frac{d y}{d x}=x \cos 3 x \cdot 3+\sin 3 x .1$
$
\begin{aligned}
& \Rightarrow \frac{d y}{d x}=3 x \cos 3 x+\sin 3 x \\
& \Rightarrow \frac{d^2 y}{d x^2}=3[x(-\sin 3 x) 3+\cos 3 x \cdot 1]+(\cos 3 x) 3
\end{aligned}
$
$\Rightarrow \frac{d^2 y}{d x^2}=-9 x \sin 3 x+6 \cos 3 x=-9 y+6 \cos 3 x \quad \text { [Using eq. (i)] }$
$
\Rightarrow \frac{d^2 y}{d x^2}+9 y-6 \cos 3 x=0
$
Therefore, Function given by eq. (i) is a solution of D.E. (ii).
(iv) The given function is $x^2=2 y^2 \log y$
To verify: Function given by eq. (i) is a solution of D.E. $\left(x^2+y^2\right) \frac{d y}{d x}-x y=0$
Differentiating both sides of eq. (i) w.r.t. $x$,
$
\begin{aligned}
& 2 x=2\left[y^2 \cdot \frac{1}{y} \frac{d y}{d x}+(\log y) 2 y \frac{d y}{d x}\right] \\
& \Rightarrow x=\frac{d y}{d x}(y+2 y \log y) \\
& \Rightarrow \frac{d y}{d x}=\frac{x}{y+2 y \log y}=\frac{x}{y(1+2 \log y)}
\end{aligned}
$
Putting $2 \log y=\frac{x^2}{y^2}$ from eq. (i), we get
$
\begin{aligned}
& \frac{d y}{d x}=\frac{x}{y\left(1+\frac{x^2}{y^2}\right)}=\frac{x}{y\left(\frac{y^2+x^2}{y^2}\right)}=\frac{x y^2}{y\left(x^2+y^2\right)} \\
& \Rightarrow \frac{d y}{d x}=\frac{x y}{x^2+y^2} \\
& \Rightarrow\left(x^2+y^2\right) \frac{d y}{d x}=x y
\end{aligned}
$
$\Rightarrow\left(x^2+y^2\right) \frac{d y}{d x}-x y=0$
$\text { Therefore, Function given by eq. (i) is a solution of D.E. (ii). }$
Miscellaneous Exercise Question 3.
Form the differential equation representing the family of curves $(x-a)^2+2 y^2=a^2$, where $a$ ia an arbitrary constant.
Answer.
Equation of the given family of curves is $(x-a)^2+2 y^2=a^2$
$
\begin{aligned}
& \Rightarrow x^2+a^2-2 a x+2 y^2=a^2 \\
& \Rightarrow x^2-2 a x+2 y^2=0 \\
& \Rightarrow x^2+2 y^2=2 a x
\end{aligned}
$
Here number of arbitrary constants is one only $(a)$.
So, we will differentiate both sides of equation only once, w.r.t. $x$,
$
\begin{aligned}
& \Rightarrow 2 x+2.2 y \frac{d y}{d x}=2 a \\
& \Rightarrow 2 x+4 y \frac{d y}{d x}=2 a
\end{aligned}
$
Dividing eq. (i) by eq. (ii), we have
$
\begin{aligned}
& \Rightarrow \frac{x^2+2 y^2}{2 x+4 y \frac{d y}{d x}}=\frac{2 a x}{2 a} \\
& \Rightarrow \frac{x^2+2 y^2}{2 x+4 y \frac{d y}{d x}}=x \\
& \Rightarrow x\left(2 x+4 y \frac{d y}{d x}\right)=x^2+2 y^2
\end{aligned}
$
$\begin{aligned}
& \Rightarrow 2 x^2+4 x y \frac{d y}{d x}=x^2+2 y^2 \\
& \Rightarrow 4 x y \frac{d y}{d x}=2 y^2-x^2 \\
& \Rightarrow \frac{d y}{d x}=\frac{2 y^2-x^2}{4 x y}
\end{aligned}$
Miscellaneous Exercise Question 4.
Prove that $x^2-y^2=c\left(x^2+y^2\right)^2$ is the general equation of the differential equation $\left(x^3-3 x y^2\right) d x=\left(y^3-3 x^2 y\right) d y$, where $c$ is a parameter.
Answer.
Given: Differential equation $\left(x^3-3 x y^2\right) d x=\left(y^3-3 x^2 y\right) d y$
Here each coefficient of $d x$ and $d y$ is of same degree, i.e., 3, therefore differential equation looks to be homogeneous.
$
\begin{aligned}
& \therefore \frac{d y}{d x}=\frac{\left(x^3-3 x y^2\right)}{\left(y^3-3 x^2 y\right)} \\
& \Rightarrow \frac{d y}{d x}=\frac{1-3\left(\frac{y}{x}\right)^2}{\left(\frac{y}{x}\right)^3-3\left(\frac{y}{x}\right)}=f\left(\frac{y}{x}\right)
\end{aligned}
$
Therefore, the given differential equation is homogeneous.
$
\begin{aligned}
& \text { Putting } \frac{y}{x}=v \\
& \Rightarrow y=v x \\
& \Rightarrow \frac{d y}{d x}=v \cdot 1+x \frac{d v}{d x}=v+x \frac{d v}{d x}
\end{aligned}
$
Putting these values in eq. (ii),
$
\begin{aligned}
& \Rightarrow v+x \frac{d v}{d x}=\frac{1-3 v^2}{v^3-3 v} \\
& \Rightarrow x \frac{d v}{d x}=\frac{1-3 v^2}{v^3-3 v}-v=\frac{1-3 v^2-v^4+3 v^2}{v^3-3 v} \\
& \Rightarrow x \frac{d v}{d x}=\frac{1-v^4}{v^3-3 v} \\
& \Rightarrow x\left(v^3-3 v\right) d v=\left(1-v^4\right) d x \\
& \Rightarrow \frac{v^3-3 v}{1-v^4} d v=\frac{d x}{x} \text { [Separating variables] }
\end{aligned}
$
Integrating both sides
$
\int \frac{v^3-3 v}{1-v^4} d v=\int \frac{1}{x} d x=\log x+\log c
$
Now forming partial fraction of $\frac{v^3-3 v}{1-v^4}$
$
\begin{aligned}
& \frac{v^3-3 v}{1-v^4}=\frac{v^3-3 v}{\left(1-v^2\right)\left(1+v^2\right)} \\
& \Rightarrow \frac{v^3-3 v}{1-v^4}=\frac{v^3-3 v}{(1-v)(1+v)\left(1+v^2\right)} \\
& \Rightarrow \frac{v^3-3 v}{1-v^4}=\frac{\mathrm{A}}{(1-v)}=\frac{\mathrm{B}}{(1+v)}=\frac{\mathrm{C} v+\mathrm{D}}{\left(1+v^2\right)}
\end{aligned}
$
$\begin{aligned}
& \Rightarrow v^3-3 v=\mathrm{A}(1+v)\left(1+v^2\right)+\mathrm{B}(1-v)\left(1+v^2\right)+(\mathrm{C} v+\mathrm{D})\left(1-v^2\right) \\
& \Rightarrow v^3-3 v=\mathrm{A}\left(1+v^2+v+v^3\right)+\mathrm{B}\left(1+v^2-v-v^3\right)+\mathrm{C} v-\mathrm{C} v^3+\mathrm{D}-\mathrm{D} v^2
\end{aligned}$
Comparing coefficients of like powers of
$
\begin{aligned}
& v^3 \mathrm{~A}-\mathrm{B}-\mathrm{C}=1 \\
& v^2 \mathrm{~A}+\mathrm{B}-\mathrm{D}=0 \\
& v \mathrm{~A}-\mathrm{B}+\mathrm{C}=-3
\end{aligned}
$
Constants $\mathrm{A}+\mathrm{B}+\mathrm{D}=0$ (viii)
Now eq. (v) - eq. (vii)
$
\begin{aligned}
& \Rightarrow-2 C=4 \\
& \Rightarrow C=-2
\end{aligned}
$
Eq. (vi) - eq. (viii)
$
\Rightarrow-2 \mathrm{D}=0 \Rightarrow \mathrm{D}=0
$
Putting $\mathrm{C}=-2$ in eq. (v), $\mathrm{A}-\mathrm{B}+2=1$
$
\Rightarrow \mathrm{A}-\mathrm{B}=-1
$
Putting $\mathrm{D}=0$ in eq. (vi) $\mathrm{A}+\mathrm{B}=0$
Adding eq. (ix) and (x) $2 A=-1$
$
\Rightarrow \mathrm{A}=\frac{-1}{2}
$
From eq. (x), $B=-A=\frac{1}{2}$
Putting the values of A, B, C and D in eq. (iv), we have
$\frac{v^3-3 v}{1-v^4}=\frac{\frac{-1}{2}}{1-v}+\frac{\frac{1}{2}}{1+v}-\frac{2 v}{1+v^2}$
$
\begin{aligned}
& \Rightarrow \int \frac{v^3-3 v}{1-v^4} d v=\frac{-1}{2} \frac{\log (1-v)}{-1}+\frac{1}{2} \log (1+v)-\log \left(1+v^2\right) \\
& \Rightarrow \int \frac{v^3-3 v}{1-v^4} d v=\frac{1}{2} \log (1-v)+\frac{1}{2} \log (1+v)-\log \left(1+v^2\right) \\
& \Rightarrow \int \frac{v^3-3 v}{1-v^4} d v=\frac{1}{2}[\log (1-v)+\log (1+v)]-\log \left(1+v^2\right) \\
& \Rightarrow \int \frac{v^3-3 v}{1-v^4} d v=\frac{1}{2}[\log (1-v)(1+v)]-\log \left(1+v^2\right) \\
& \Rightarrow \int \frac{v^3-3 v}{1-v^4} d v=\log \left(1-v^2\right)^{\frac{1}{2}}-\log \left(1+v^2\right) \\
& =\log \left(\frac{\sqrt{1-v^2}}{1+v^2}\right)
\end{aligned}
$
Putting this value in eq. (iii),
$
\begin{aligned}
& \Rightarrow \log \left(\frac{\sqrt{1-v^2}}{1+v^2}\right)=\log x c \\
& \Rightarrow \frac{\sqrt{1-v^2}}{1+v^2}=x c
\end{aligned}
$
Squaring both sides and cross-multiplying,
$
\Rightarrow 1-v^2=c^2 x^2\left(1+v^2\right)^2
$
Putting $v=\frac{y}{x}$,
$\Rightarrow 1-\frac{y^2}{x^2}=c^2 x^2\left(1+\frac{y^2}{x^2}\right)^2$
$\begin{aligned}
& \Rightarrow \frac{x^2-y^2}{x^2}=c^2 x^2 \frac{\left(x^2+y^2\right)^2}{x^4} \\
& \Rightarrow \frac{x^2-y^2}{x^2}=c^2 \frac{\left(x^2+y^2\right)^2}{x^2} \\
& \Rightarrow x^2-y^2=\mathrm{C}\left(x^2+y^2\right)^2 \text { where } c^2=\mathrm{C}
\end{aligned}$
Miscellaneous Exercise Question 6.
Find the general solution of the differential equation $\frac{d y}{d x}+\sqrt{\frac{1-y^2}{1-x^2}}=0$
Answer.
Given: Differential Equation $\frac{d y}{d x}+\sqrt{\frac{1-y^2}{1-x^2}}=0$
$
\begin{aligned}
& \Rightarrow \frac{d y}{d x}=-\sqrt{\frac{1-y^2}{1-x^2}} \\
& \Rightarrow \sqrt{1-x^2} d y=-\sqrt{1-y^2} d x \\
& \Rightarrow \frac{d y}{\sqrt{1-y^2}}=\frac{-d x}{\sqrt{1-x^2}}
\end{aligned}
$
Integrating both sides
$
\begin{aligned}
& \Rightarrow \int \frac{1}{\sqrt{1-y^2}} d y=-\int \frac{1}{\sqrt{1-x^2}} d x \\
& \Rightarrow \sin ^{-1} \mathrm{y}=-\sin ^{-1} \mathrm{x}+\mathrm{c} \\
& \Rightarrow \sin ^{-1} x+\sin ^{-1} y=c
\end{aligned}
$
Miscellaneous Exercise Question 7.
Show that the general solution of the differential equation $\frac{d y}{d x}+\frac{y^2+y+1}{x^2+x+1}=0$
given by $(x+y+1)=A(1-x-y-2 x y)$, where $A$ is parameter.
Answer.
Given: Differential equation $\frac{d y}{d x}+\frac{y^2+y+1}{x^2+x+1}=0$
$
\begin{aligned}
& \Rightarrow \frac{d y}{d x}=-\left(\frac{y^2+y+1}{x^2+x+1}\right) \\
& \Rightarrow \frac{d y}{y^2+y+1}=\frac{-d x}{x^2+x+1} \\
& \Rightarrow \frac{d y}{y^2+y+1}+\frac{d x}{x^2+x+1}=0
\end{aligned}
$
Integrating both sides,
$
\Rightarrow \int \frac{1}{y^2+y+1} d y+\int \frac{1}{x^2+x+1} d x=0
$
Now $y^2+y+1=y^2+y+\frac{1}{4}-\frac{1}{4}+1 \quad$ [Completing the squares]
$
\Rightarrow y^2+y+1=\left(y+\frac{1}{2}\right)^2+\frac{3}{4}=\left(y+\frac{1}{2}\right)^2+\left(\frac{\sqrt{3}}{2}\right)^2
$
Therefore, $\int \frac{1}{y^2+y+1} d y=\int \frac{1}{\left(y+\frac{1}{2}\right)^2+\left(\frac{\sqrt{3}}{2}\right)^2} d y$
$=\frac{1}{\left(\frac{\sqrt{3}}{2}\right)} \tan ^{-1} \frac{y+\frac{1}{2}}{\frac{\sqrt{3}}{2}}=\frac{2}{\sqrt{3}} \tan ^{-1} \frac{2 y+1}{\sqrt{3}}$
Similarly, $\int \frac{1}{x^2+x+1} d x=\frac{2}{\sqrt{3}} \tan ^{-1} \frac{2 x+1}{\sqrt{3}}$
Putting these values in eq. (i),
$
\begin{aligned}
& \frac{2}{\sqrt{3}} \tan ^{-1} \frac{2 y+1}{\sqrt{3}}+\frac{2}{\sqrt{3}} \tan ^{-1} \frac{2 x+1}{\sqrt{3}}=c \\
& \Rightarrow \tan ^{-1} \frac{2 y+1}{\sqrt{3}}+\tan ^{-1} \frac{2 x+1}{\sqrt{3}}=\frac{\sqrt{3}}{2} c \text { [Multiplying by } \frac{\sqrt{3}}{2} \text { ] } \\
& \Rightarrow \tan ^{-1} \frac{\frac{2 x+1}{\sqrt{3}}+\frac{2 y+1}{\sqrt{3}}}{1-\frac{2 x+1}{\sqrt{3}} \cdot \frac{2 y+1}{\sqrt{3}}}=\tan ^{-1} c^{\prime} \text { where } c^{\prime}=\frac{\sqrt{3}}{2} c \\
& \Rightarrow \frac{\sqrt{3}(2 x+2 y+2)}{3-(4 x y+2 x+2 y+1)}=c^{\prime} \\
& \Rightarrow \sqrt{3}(2 x+2 y+2)=c^{\prime}(2-2 x-2 y-4 x y) \\
& \Rightarrow 2 \sqrt{3}(x+y+1)=2 c^{\prime}(1-x-y-2 x y)
\end{aligned}
$
dividing by $2 \sqrt{3}$
$
\begin{aligned}
& x+y+1=\frac{c^{\prime}}{\sqrt{3}}(1-x-y-2 x y) \\
& \Rightarrow x+y+1=\mathrm{A}(1-x-y-2 x y) \text { where } \mathrm{A}=\frac{c^{\prime}}{\sqrt{3}}
\end{aligned}
$
Miscellaneous Exercise Question 8.
Find the equation of the curve passing through the point $\left(0, \frac{\pi}{4}\right)$ whose differential equation is $\sin x \cos y d x+\operatorname{cox} \sin y d y=0$
Answer.
Given: Differential equation $\sin x \cos y d x+\cos x \sin y d y=0$
$
\begin{aligned}
& \Rightarrow \sin x \cos y d x=-\cos x \sin y d y \\
& \Rightarrow \frac{\sin x}{\cos x} d x=\frac{-\sin y}{\cos y} d y \\
& \Rightarrow \tan x d x=-\tan y d y
\end{aligned}
$
Integrating both sides,
$
\begin{aligned}
& \Rightarrow \int \tan x d x=-\int \tan y d y \\
& \Rightarrow \log |\sec x|=-\log |\sec y|+\log |c| \\
& \Rightarrow \log |\sec x|+\log |\sec y|=\log |c| \\
& \Rightarrow \log |\sec x \sec y|=\log |c| \\
& \Rightarrow \sec x \sec y=c
\end{aligned}
$
Now, curve (i) passes through $\left(0, \frac{\pi}{4}\right)$.
Therefore, putting $x=0, y=\frac{\pi}{4}$ in eq. (i),
$
\begin{aligned}
& \Rightarrow \sec 0 \sec \frac{\pi}{4}=c \\
& \Rightarrow c=\sqrt{2}
\end{aligned}
$
Putting $c=\sqrt{2}$ in eq. (i),
$
\Rightarrow \sec x \sec y=\sqrt{2}
$
$\Rightarrow \frac{\sec x}{\cos y}=\sqrt{2}$
$\Rightarrow \cos y=\frac{\sec x}{\sqrt{2}}$
Miscellaneous Exercise Question 9.
Find the particular solution of the differential equation $\left(1+e^{2 x}\right) d y+\left(1+y^2\right) e^x d x=0$ given that $y=1$ when $x=0$.
Answer.
Given: Differential equation $\left(1+e^{2 x}\right) d y+\left(1+y^2\right) e^x d x=0$
Dividing every term by $\left(1+y^2\right)\left(1+e^{2 x}\right)$, we have
$
\Rightarrow \frac{d y}{1+y^2}+\frac{e^x}{1+e^{2 x}} d x=0
$
Integrating both sides,
$
\begin{aligned}
& \Rightarrow \int \frac{1}{1+y^2} d y+\int \frac{e^x}{1+e^{2 x}} d x=c \\
& \Rightarrow \tan ^{-1} y+\int \frac{e^x}{1+e^{2 x}} d x=c
\end{aligned}
$
Now to evaluate $\int \frac{e^x}{1+e^{2 x}} d x$,
putting $e^x=t$
$
\begin{aligned}
& \Rightarrow e^x=\frac{d t}{d x} \Rightarrow e^x d x=d t \\
& \therefore \int \frac{e^x}{1+e^{2 x}} d x=\int \frac{d t}{1+t^2}=\tan ^{-1} t=\tan ^{-1} e^x
\end{aligned}
$
Putting this value in eq. (i), $\tan ^{-1} y+\tan ^{-1} e^x=c$
Now putting $y=1, x=0$ in eq. (ii),
$
\begin{aligned}
& \Rightarrow \tan ^{-1} 1+\tan ^{-1} e^0=c \\
& \Rightarrow \tan ^{-1} 1+\tan ^{-1} 1=c \\
& \Rightarrow \frac{\pi}{4}+\frac{\pi}{4}=c \\
& \Rightarrow c=\frac{\pi}{2}
\end{aligned}
$
Putting $c=\frac{\pi}{2}$ in eq. (ii),
$
\Rightarrow \tan ^{-1} y+\tan ^{-1} e^x=\frac{\pi}{2}
$
Miscellaneous Exercise Question 10.
Solve the differential equation: $y e^{x / y} d x=\left(x e^{x / y}+y^2\right) d y(y \neq 0)$
Answer.
Given: Differential equation $y \cdot e^{x / y} d x=\left(x \cdot e^{x / y}+y^2\right) d y, y \neq 0$
$
\begin{aligned}
& \Rightarrow \frac{d x}{d y}=\frac{x \cdot e^{x / y}+y^2}{y \cdot e^{x / y}}=\frac{x \cdot e^{x / y}}{y \cdot e^{x / y}}+\frac{y^2}{y \cdot e^{x / y}} \\
& \Rightarrow \frac{d x}{d y}=\frac{x}{y}+y \cdot e^{x / y} \ldots \ldots \ldots . \text { (i) }
\end{aligned}
$
It is not a homogeneous differential equation because of presence of only $y$ as a factor, yet it can be solved by putting $\frac{x}{y}=v$, i.e., $x=v y$.
$
\Rightarrow \frac{d x}{d y}=v+y \frac{d v}{d y}
$
Putting these values in eq. (i), we get
$
\begin{aligned}
& \Rightarrow v+y \frac{d v}{d y}=v+y e^{-v} \\
& \Rightarrow y \frac{d v}{d y}=y \cdot e^{-v} \\
& \Rightarrow y \frac{d v}{d y}=\frac{y}{e^v} \\
& \Rightarrow e^v d v=d y
\end{aligned}
$
Integrate both sides, we get
$
\begin{aligned}
& \Rightarrow e^v=y+c \\
& \Rightarrow e^{x / y}=y+c
\end{aligned}
$
$
\begin{aligned}
& \Rightarrow-\frac{d y}{d x}=\frac{d t}{d x}-1 \\
& \Rightarrow \frac{d y}{d x}=\frac{-d t}{d x}+1
\end{aligned}
$
Putting this value in eq. (i),
$
\begin{aligned}
& \Rightarrow \frac{-d t}{d x}+1=-\left(\frac{t-1}{t+1}\right) \\
& \Rightarrow \frac{-d t}{d x}=-1-\left(\frac{t-1}{t+1}\right) \\
& \Rightarrow \frac{d t}{d x}=1+\left(\frac{t-1}{t+1}\right)=\frac{t+1+t-1}{t+1} \\
& \Rightarrow \frac{d t}{d x}=\frac{2 t}{t+1} \\
& \Rightarrow(t+1) d t=2 t d x \\
& \Rightarrow \frac{t+1}{t} d t=2 d x
\end{aligned}
$
Integrating both sides,
$
\begin{aligned}
& \Rightarrow \int\left(\frac{t+1}{t}\right) d t=2 \int 1 . d x \\
& \Rightarrow \int\left(\frac{t}{t}+\frac{1}{t}\right) d t=2 x+c \\
& \Rightarrow \int\left(1+\frac{1}{t}\right) d t=2 x+c
\end{aligned}
$
$\Rightarrow t+\log |t|=2 x+c$
Putting $x-y=t$,
$
\begin{aligned}
& \Rightarrow x-y+\log |x-y|=2 x+c \\
& \Rightarrow \log |x-y|=x+y+c \ldots . . . .
\end{aligned}
$
Now putting $y=-1, x=0$ in eq. (ii),
$
\begin{aligned}
& \Rightarrow \log 1=0-1+c \\
& \Rightarrow 0=-1+c \\
& \Rightarrow c=1
\end{aligned}
$
Putting $c=1$ in eq. (ii),
$
\Rightarrow \log |x-y|=x+y+1
$
Miscellaneous Exercise Question 12.
Solve the differential equation: $\left(\frac{e^{-2 \sqrt{x}}}{\sqrt{x}}-\frac{y}{\sqrt{x}}\right) \frac{d x}{d y}=1(x \neq 0)$
Answer.
Given: Differential equation $\left(\frac{e^{-2 \sqrt{x}}}{\sqrt{x}}-\frac{y}{\sqrt{x}}\right) \frac{d x}{d y}=1$
$
\begin{aligned}
& \Rightarrow \frac{e^{-2 \sqrt{x}}}{\sqrt{x}}-\frac{y}{\sqrt{x}}=\frac{d y}{d x} \\
& \Rightarrow \frac{d y}{d x}+\frac{y}{\sqrt{x}}=\frac{e^{-2 \sqrt{x}}}{\sqrt{x}}
\end{aligned}
$
Comparing this equation with $\frac{d y}{d x}+\mathrm{P} y=\mathrm{Q}$,
$
\mathrm{P}=\frac{1}{\sqrt{x}} \text { and } \mathrm{Q}=\frac{e^{-2 \sqrt{x}}}{\sqrt{x}}
$
$
\begin{aligned}
& \int \mathrm{P} d x=\int \frac{1}{\sqrt{x}} d x=\int x^{-1 / 2} d x=\frac{x^{1 / 2}}{1 / 2}=2 \sqrt{x} \\
& \Rightarrow \text { I.F. }=e^{\lceil\mathrm{P} \alpha x}=e^{2 \sqrt{x}}
\end{aligned}
$
The general solution is
$
\begin{aligned}
& \Rightarrow \mathrm{y} \text { (I.F.) }=\int \mathrm{Q}(\text { I.F.) }) d x+c \\
& \Rightarrow y e^{2 \sqrt{x}}=\int \frac{e^{-2 \sqrt{x}}}{\sqrt{x}} e^{2 \sqrt{x}} d x+c \\
& \Rightarrow y e^{2 \sqrt{x}}=\int \frac{1}{\sqrt{x}} d x+c \\
& \Rightarrow y e^{2 \sqrt{x}}=2 \sqrt{x}+c \\
& \Rightarrow y=e^{-2 \sqrt{x}}(2 \sqrt{x}+c)
\end{aligned}
$
Miscellaneous Exercise Question 13.
Find the particular solution of the differential equation $\frac{d y}{d x}+y \cot x=4 x \operatorname{cosec} x(x \neq 0)$ given that $y=0$ when $x=\frac{\pi}{2}$.
Answer.
Given: Differential equation $\frac{d y}{d x}+y \cot x=4 x \operatorname{cosec} x$
Comparing this equation with $\frac{d y}{d x}+\mathrm{P} y=\mathrm{Q}$,
$
\begin{aligned}
& \mathrm{P}=\cot x \text { and } \mathrm{Q}=4 x \operatorname{cosec} x \\
& \int \mathrm{P} d x=\int \cot x d x=\log \sin x \\
& \Rightarrow \text { I.F. }=e^{\int \mathrm{P} d x}=e^{\mathrm{bg} \sin x}=\sin x
\end{aligned}
$
The general solution is
$
\Rightarrow \mathrm{y} \text { (I.F.) }=\int \mathrm{Q}(\text { I.F. }) d x+c
$
$
\begin{aligned}
& \Rightarrow y(\sin x)=\int 4 x \operatorname{cosec} x \sin x d x+c \\
& \Rightarrow y(\sin x)=4 \int x \frac{1}{\sin x} \sin x d x+c \\
& \Rightarrow y(\sin x)=4 \int x d x+c=4 \cdot \frac{x^2}{2}+c \\
& \Rightarrow y \sin x=2 x^2+c
\end{aligned}
$
Now putting $y=0, x=\frac{\pi}{2}$ in eq. (i),
$
\begin{aligned}
& \Rightarrow 0=2 \cdot \frac{\pi^2}{4}+c \\
& \Rightarrow c=\frac{-\pi^2}{2}
\end{aligned}
$
Putting $c=\frac{-\pi^2}{2}$ in eq. (i),
$
\Rightarrow y \sin x=2 x^2-\frac{\pi^2}{2}
$
Miscellaneous Exercise Question 14.
Find the particular solution of the differential equation $(x+1) \frac{d y}{d x}=2 e^{-y}-1$ given that $y=0$ when $x=0$.
Answer.
Given: Differential equation $(x+1) \frac{d y}{d x}=2 e^{-y}-1$
$
\begin{aligned}
& \Rightarrow(x+1) \frac{d y}{d x}=\frac{2}{e^y}-1=\frac{2-e^y}{e^y} \\
& \Rightarrow(x+1) e^y d y=\left(2-e^y\right) d x
\end{aligned}
$
$
\Rightarrow \frac{e^y d y}{2-e^y}=\frac{d x}{x+1}
$
Integrating both sides,
$
\begin{aligned}
& \Rightarrow \int \frac{e^y}{2-e^y} d y=\int \frac{1}{x+1} d x \\
& \text { Putting } e^y=t \\
& \Rightarrow e^y=\frac{d t}{d y} \\
& \Rightarrow e^y d y=d t \\
& \therefore \int \frac{d t}{2-t}=\log |x+1| \\
& \Rightarrow \frac{\log |2-t|}{-1}=\log |x+1|+c
\end{aligned}
$
Putting $e^y=t$,
$
\begin{aligned}
& \Rightarrow-\log \left|2-e^y\right|=\log |x+1|+c \\
& \Rightarrow \log |x+1|+\log \left|2-e^y\right|=-c \\
& \Rightarrow \log |x+1|\left|2-e^y\right|=-c \\
& \Rightarrow|x+1|\left|2-e^y\right|=e^{-c} \\
& \Rightarrow(x+1)\left(2-e^y\right)= \pm e^{-c} \\
& \Rightarrow(x+1)\left(2-e^y\right)=\mathrm{C} \text { where } \mathrm{C}= \pm e^{-c}
\end{aligned}
$
$\text { Putting } x=0, y=0 \text { in eq. (i), }$
$
\begin{aligned}
& \Rightarrow(1)(2-1)=c \\
& \Rightarrow c=1
\end{aligned}
$
Putting $C=1$ in eq. (i),
$
\Rightarrow(x+1)\left(2-e^y\right)=1
$
This solution may be written as
$
\begin{aligned}
& \Rightarrow 2-e^y=\frac{1}{x+1} \\
& \Rightarrow e^y=2-\frac{1}{x+1}=\frac{2 x+1}{x+1} \\
& \Rightarrow \log e^y=\log \left(\frac{2 x+1}{x+1}\right) \\
& \Rightarrow y=\log \left(\frac{2 x+1}{x+1}\right)
\end{aligned}
$
where expresses $y$ as an explicit function of $x$.
Choose the correct answer:
Miscellaneous Exercise Question 16.
The general solution of the differential equation $\frac{y d x-x d y}{y}=0$ is:
(A) $x y=\mathrm{C}$
(B) $x=\mathrm{C} y^2$
(C) $y=\mathrm{C} x$
(D) $y=\mathrm{C} x^2$
Answer.
Given: Differential equation $\frac{y d x-x d y}{y}=0$
$
\begin{aligned}
& \Rightarrow y d x-x d y=0 \\
& \Rightarrow \frac{d x}{x}=\frac{d y}{y} \quad \text { [Separating variables] }
\end{aligned}
$
Integrating both sides, $\log |x|=\log |y|+\log |c|$
$
\begin{aligned}
& \Rightarrow \log |x|=\log |c y| \\
& \Rightarrow x= \pm c y \\
& \Rightarrow y= \pm \frac{1}{c} x
\end{aligned}
$
$
\Rightarrow y=\mathrm{C} x \text { where } \mathrm{C}= \pm \frac{1}{\mathrm{c}}
$
Therefore, option (C) is correct.
Miscellaneous Exercise Question 17.
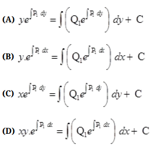
$\text { The general equation of a differential equation of the type } \frac{d y}{d x}+P_1 x=Q_1 \text { is: }$
.png)
Answer.
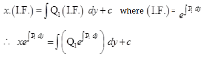
$\text {We know that general solution of differential equation of the type } \frac{d y}{d x}=\mathrm{P}_1 x=\mathrm{Q}_1 \text { is }$
.png)
Therefore, option (C) is correct.
Miscellaneous Exercise Question 18.
The general solution of the differential equation $e^x d y+\left(y e^x+2 x\right) d x=0$ is:
(A) $x e^y+x^2=\mathrm{C}$
(B) $x e^y+y^2=\mathrm{C}$
(C) $y e^x+x^2=\mathrm{C}$
(D) $y e^x+x^2=\mathrm{C}$
Answer.
Given: Differential equation $e^x d y+\left(y e^x+2 x\right) d x=0$
$
\begin{aligned}
& \Rightarrow e^x \frac{d y}{d x}+y e^x+2 x=0 \\
& \Rightarrow e^x \frac{d y}{d x}+y e^x=-2 x \\
& \Rightarrow \frac{d y}{d x}+y=\frac{-2 x}{e^x}
\end{aligned}
$
Comparing with $\frac{d y}{d x}=\mathrm{P} x=\mathrm{Q} \quad \mathrm{P}=1$ and $\mathrm{Q}=\frac{\frac{-2 x}{y}}{\frac{x}{x}}$
$
\int \mathrm{P} d x=\int 1 d x=x \quad \text { I.F. }=e^{\int \mathrm{P} d x}=e^x
$
Solution is $y($ I.F. $)=\int \mathrm{Q}($ I.F. $) d x+\mathrm{C}$
$
\begin{aligned}
& \Rightarrow y e^x=\int \frac{-2 x}{e^x} e^x d x+\mathrm{C} \\
& \Rightarrow y e^x=-2 \int x d x+\mathrm{C} \\
& \Rightarrow y e^x=-2 \frac{x^2}{2}+\mathrm{C} \\
& \Rightarrow y e^x=-x^2+\mathrm{C} \\
& \Rightarrow y e^x+x^2=\mathrm{C}
\end{aligned}
$
Therefore, option (C) is correct.
