Exercise 2.3 (Revised) - Chapter 2 - Polynomials - Ncert Solutions class 9 - Maths
Updated On 26-08-2025 By Lithanya
You can Download the Exercise 2.3 (Revised) - Chapter 2 - Polynomials - Ncert Solutions class 9 - Maths with expert answers for all chapters. Perfect for Tamil & English Medium students to revise the syllabus and score more marks in board exams. Download and share it with your friends
Share this to Friend on WhatsApp
Chapter 2 - Polynomials | NCERT Solutions for Class 9 Maths
Exercise 2.3 Question 1.
Determine which of the following polynomials has ${ }^{(x+1)}$ a factor:
(i) $x^3+x^2+x+1$
(ii) $x^4+x^3+x^2+x+1$
(iii) $x^4+3 x^3+3 x^2+x+1$
(iv) $x^3-x^2-(2+\sqrt{2}) x+\sqrt{2}$
Answer.
(i) $x^3+x^2+x+1$
While applying the factor theorem, we get
$
\begin{aligned}
& p(x)=x^3+x^2+x+1 \\
& p(-1)=(-1)^3+(-1)^2+(-1)+1 \\
& =-1+1-1+1 \\
& =0
\end{aligned}
$
We conclude that on dividing the polynomial $x^3+x^2+x+1$ by $(x+1)$, we get the remainder as0.
Therefore, we conclude that $(x+1)$ is a factor of $x^3+x^2+x+1$.
(ii) $x^4+x^3+x^2+x+1$
While applying the factor theorem, we get
$
\begin{aligned}
& p(x)=x^4+x^3+x^2+x+1 \\
& p(-1)=(-1)^4+(-1)^3+(-1)^2+(-1)+1 \\
& =1-1+1-1+1 \\
& =1
\end{aligned}
$
We conclude that on dividing the polynomial $x^4+x^3+x^2+x+1$ by $(x+1)$, we will get the remainder as1, which is not 0 .
Therefore, we conclude that $(x+1)$ is not a factor of $x^4+x^3+x^2+x+1$.
(iii) $x^4+3 x^3+3 x^2+x+1$
While applying the factor theorem, we get
$
\begin{aligned}
& p(x)=x^4+3 x^3+3 x^2+x+1 \\
& p(-1)=(-1)^4+3(-1)^3+3(-1)^2+(-1)+1 \\
& =1-3+3-1+1 \\
& =1
\end{aligned}
$
We conclude that on dividing the polynomial $x^4+3 x^3+3 x^2+x+1$ by $(x+1)$, we will get the remainder as 1 , which is not 0 .
Therefore, we conclude that $(x+1)$ is not a factor of $x^4+3 x^3+3 x^2+x+1$.
(iv) $x^3-x^2-(2+\sqrt{2}) x+\sqrt{2}$
While applying the factor theorem, we get
$
\begin{aligned}
& p(x)=x^3-x^2-(2+\sqrt{2}) x+\sqrt{2} \\
& p(-1)=(-1)^3-(-1)^2-(2+\sqrt{2})(-1)+\sqrt{2} \\
& =-1-1+2+\sqrt{2}+\sqrt{2} \\
& =2 \sqrt{2}
\end{aligned}
$
We conclude that on dividing the polynomial $x^3-x^2-(2+\sqrt{2}) x+\sqrt{2}$ by $(x+1)$, we will get the remainder as $2 \sqrt{2}$, which is not 0 .
Therefore, we conclude that $(x+1)$ is not a factor of $x^3-x^2-(2+\sqrt{2}) x+\sqrt{2}$.
Exercise 2.3 Question 2.
Use the Factor Theorem to determine whether $g(x)$ is a factor of $p(x)$ in each of the
following cases:
(i) $p(x)=2 x^3+x^2-2 x-1, g(x)=x+1$
(ii) $p(x)=x^3+3 x^2+3 x+1, g(x)=x+2$
(iii) $p(x)=x^3-4 x^2+x+6, g(x)=x-3$
Answer.
(i) $p(x)=2 x^3+x^2-2 x-1, g(x)=x+1$
We know that according to the factor theorem, $(x-a)$ is a factor of $p(x)$, if $p(a)=0$.
We can conclude that $g(x)$ is a factor of $p(x)$, if $p(-1)=0$.
$
\begin{aligned}
& p(-1)=2(-1)^3+(-1)^2-2(-1)-1 \\
& =2+1-1-2 \\
& =0
\end{aligned}
$
Therefore, we conclude that the $g(x)$ is a factor of $p(x)$.
(ii) $p(x)=x^3+3 x^2+3 x+1, g(x)=x+2$
We know that according to the factor theorem, $(x-a)$ is a factor of $p(x)$, if $p(a)=0$.
We can conclude that $g(x)$ is a factor of $p(x)$, if $p(-2)=0$.
$
\begin{aligned}
& p(-2)=(-2)^3+3(-2)^2+3(-2)+1 \\
& =-8+12-6+1 \\
& =-1
\end{aligned}
$
Therefore, we conclude that the $g(x)$ is not a factor of $p(x)$.
(iii) $p(x)=x^3-4 x^2+x+6, g(x)=x-3$
We know that according to the factor theorem, $(x-a)$ is a factor of $p(x)$, if $p(a)=0$.
We can conclude that $g(x)$ is a factor of $p(x)$, if $p(3)=0$.
$
\begin{aligned}
& p(3)=(3)^3-4(3)^2+(3)+6 \\
& =27-36+3+6
\end{aligned}
$
$
=0
$
Therefore, we conclude that the $g(x)$ is a factor of $p(x)$.
Exercise 2.3 Question 3.
Find the value of $k$, if $x-1$ is a factor of $p(x)$ in each of the following cases:
(i) $p(x)=x^2+x+k$
(ii) $p(x)=2 x^2+k x+\sqrt{2}$
(iii) $p(x)=k x^2-\sqrt{2} x+1$
(iv) $p(x)=k x^2-3 x+k$
Answer.
(i) $p(x)=x^2+x+k$
We know that according to the factor theorem
$p(a)=0$, if $x-a$ is a factor of $p(x)$
We conclude that if $(x-1)$ is a factor of $p(x)=x^2+x+k$, then $p(1)=0$.
$
\begin{aligned}
& p(1)=(1)^2+(1)+k=0, \text { or } \\
& k+2=0 \\
& k=-2
\end{aligned}
$
Therefore, we can conclude that the value of $k$ is -2 .
(ii) $p(x)=2 x^2+k x+\sqrt{2}$
We know that according to the factor theorem
$p(a)=0$, if $x-a$ is a factor of $p(x)$.
We conclude that if $(x-1)$ is a factor of $p(x)=2 x^2+k x+\sqrt{2}$, then $p(1)=0$.
$
\begin{aligned}
& p(1)=2(1)^2+k(1)+\sqrt{2}=0, \text { or } \\
& 2+k+\sqrt{2}=0 \\
& k=-(2+\sqrt{2}) .
\end{aligned}
$
Therefore, we can conclude that the value of $k$ is $-(2+\sqrt{2})$.
(iii) $p(x)=k x^2-\sqrt{2} x+1$
We know that according to the factor theorem
$p(a)=0$, if $x-a$ is a factor of $p(x)$.
We conclude that if $(x-1)$ is a factor of $p(x)=k x^2-\sqrt{2} x+1$, then $p(1)=0$.
$
\begin{aligned}
& p(1)=k(1)^2-\sqrt{2}(1)+1=0 \text { or } \\
& k-\sqrt{2}+1=0 \\
& k=\sqrt{2}-1
\end{aligned}
$
Therefore, we can conclude that the value of $k$ is $\sqrt{2}-1$.
(iv) $p(x)=k x^2-3 x+k$
We know that according to the factor theorem
$p(a)=0$, if $x-a$ is a factor of $\mathrm{p}(\mathrm{x})$
We conclude that if $(x-1)$ is a factor of $p(x)=k x^2-3 x+k$, then $p(1)=0$.
$
p(1)=k(1)^2-3(1)+k ; \text { or } 2 k-3=0 \quad \Rightarrow k=\frac{3}{2}
$
$\text { Therefore, we can conclude that the value of } k \text { is } \frac{3}{2} \text {. }$
Exercise 2.3 Question 4.
Factorize:
(i) $12 x^2-7 x+1$
(ii) $2 x^2+7 x+3$
(iii) $6 x^2+5 x-6$
(iv) $3 x^2-x-4$
Answer.
(i) $12 x^2-7 x+1$
$
\begin{aligned}
& 12 x^2-7 x+1=12 x^2-3 x-4 x+1 \\
& =3 x(4 x-1)-1(4 x-1) \\
& =(3 x-1)(4 x-1) .
\end{aligned}
$
Therefore, we conclude that on factorizing the polynomial $12 x^2-7 x+1$, we get $(3 x-1)(4 x-1)$.
(ii) $2 x^2+7 x+3$
$
\begin{aligned}
& 2 x^2+7 x+3=2 x^2+6 x+x+3 \\
& =2 x(x+3)+1(x+3)
\end{aligned}
$
$
=(2 x+1)(x+3) \text {. }
$
Therefore, we conclude that on factorizing the polynomial $2 x^2+7 x+3$, we get $(2 x+1)(x+3)$.
(iii) $6 x^2+5 x-6$
$
\begin{aligned}
& 6 x^2+5 x-6=6 x^2+9 x-4 x-6 \\
& =3 x(2 x+3)-2(2 x+3) \\
& =(3 x-2)(2 x+3) .
\end{aligned}
$
Therefore, we conclude that on factorizing the polynomial $6 x^2+5 x-6$, we get $(3 x-2)(2 x+3)$.
(iv) $3 x^2-x-4$
$
\begin{aligned}
& 3 x^2-x-4=3 x^2+3 x-4 x-4 \\
& =3 x(x+1)-4(x+1) \\
& =(3 x-4)(x+1)
\end{aligned}
$
Therefore, we conclude that on factorizing the polynomial $3 x^2-x-4$, we get $(3 x-4)(x+1)$.
Exercise 2.3 Question 5.
Factorize:
(i) $x^3-2 x^2-x+2$
(ii) $x^3-3 x^2-9 x-5$
(iii) $x^3+13 x^2+32 x+20$
(iv) $2 y^3+y^2-2 y-1$
Answer.
(i) $x^3-2 x^2-x+2$
We need to consider the factors of 2 , which are $\pm 1, \pm 2$.
Let us substitute 1 in the polynomial $x^3-2 x^2-x+2$, to get
$
(1)^3-2(1)^2-(1)+2=1-1-2+2=0
$
Thus, according to factor theorem, we can conclude that $(x-1)$ is a factor of the polynomial $x^3-2 x^2-x+2$.
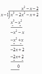
Let us divide the polynomial $x^3-2 x^2-x+2$ by $(x-1)$, to get
.png)
$
\begin{aligned}
& x^3-2 x^2-x+2=(x-1)\left(x^2-x-2\right) . \\
& x^3-2 x^2-x+2=(x-1)\left(x^2-x-2\right) . \\
& =(x-1)\left(x^2+x-2 x-2\right) \\
& =(x-1)[x(x+1)-2(x+1)] \\
& =(x-1)(x-2)(x+1) .
\end{aligned}
$
Therefore, we can conclude that on factorizing the polynomial $x^3-2 x^2-x+2$, we get $(x-1)(x-2)(x+1)$.
(ii) $x^3-3 x^2-9 x-5$
We need to consider the factors of -5 , which are $\pm 1, \pm 5$.
Let us substitute 1 in the polynomial $x^3-3 x^2-9 x-5$, to get
$
(-1)^3-3(-1)^2-9(-1)-5=-1-3+9-5=0
$
Thus, according to factor theorem, we can conclude that ${ }^{(x+1)}$ is a factor of the polynomial $x^3-3 x^2-9 x-5$.
$\text { Let us divide the polynomial } x^3-3 x^2-9 x-5 \text { by }(x+1) \text {, to get }$
.png)
$
\begin{aligned}
& x^3-3 x^2-9 x-5=(x+1)\left(x^2-4 x-5\right) \\
& =(x+1)\left(x^2+x-5 x-5\right) \\
& =(x+1)[x(x+1)-5(x+1)] \\
& =(x+1)(x-5)(x+1) .
\end{aligned}
$
Therefore, we can conclude that on factorizing the polynomial $x^3-3 x^2-9 x-5$, we get $(x+1)(x-5)(x+1)$
(iii) $x^3+13 x^2+32 x+20$
We need to consider the factors of 20 , which are $\pm 5, \pm 4, \pm 2, \pm 1$.
Let us substitute -1 in the polynomial $x^3+13 x^2+32 x+20$, to get
$
(-1)^3+13(-1)^2+32(-1)+20=-1+13-32+20=-20+20=0
$
.png)
$
\begin{aligned}
& x^3+13 x^2+32 x+20=(x+1)\left(x^2+12 x+20\right) \\
& =(x+1)\left(x^2+2 x+10 x+20\right) \\
& =(x+1)[x(x+2)+10(x+2)] \\
& =(x+1)(x+10)(x+2) .
\end{aligned}
$
Therefore, we can conclude that on factorizing the polynomial $x^3+13 x^2+32 x+20$, we get $(x+1)(x-10)(x+2)$
(iv) $2 y^3+y^2-2 y-1$
We need to consider the factors of -1 , which are $\pm 1$.
Let us substitute 1 in the polynomial $2 y^3+y^2-2 y-1$, to get
$
2(1)^3+(1)^2-2(1)-1=2+1-2-1=3-3=0
$
Thus, according to factor theorem, we can conclude that ${ }^{(y-1)}$ is a factor of the polynomial $2 y^3+y^2-2 y-1$.
$\text { Let us divide the polynomial } 2 y^3+y^2-2 y-1 \text { by }(y-1) \text {, to get }$
.png)
$
\begin{aligned}
& 2 y^3+y^2-2 y-1=(y-1)\left(2 y^2+3 y+1\right) \\
& =(y-1)\left(2 y^2+2 y+y+1\right) \\
& =(y-1)[2 y(y+1)+1(y+1)] \\
& =(y-1)(2 y+1)(y+1) .
\end{aligned}
$
Therefore, we can conclude that on factorizing the polynomial $2 y^3+y^2-2 y-1$, we get $(y-1)(2 y+1)(y+1)$.
