INTRODUCTION - Chapter 9 - Mechanical Properties Of Solids - Ncert Solutions class 11 - Physics
Updated On 26-08-2025 By Lithanya
You can Download the INTRODUCTION - Chapter 9 - Mechanical Properties Of Solids - Ncert Solutions class 11 - Physics with expert answers for all chapters. Perfect for Tamil & English Medium students to revise the syllabus and score more marks in board exams. Download and share it with your friends
Share this to Friend on WhatsApp
Question 9.1:
A steel wire of length 4.7 m and cross-sectional area 3.0 × 10–5 m2 stretches by the same amount as a copper wire of length 3.5 m and cross-sectional area of 4.0 × 10–5 m2 under a given load. What is the ratio of the Young’s modulus of steel to that of copper?
Answer:
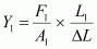
Length of the steel wire, L1 = 4.7 m
Area of cross-section of the steel wire, A1 = 3.0 × 10–5 m2
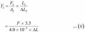
Length of the copper wire, L2 = 3.5 m
Area of cross-section of the copper wire, A2 = 4.0 × 10–5 m2
Change in length = ΔL1 = ΔL2 = ΔL
Force applied in both the cases = F
Young’s modulus of the steel wire:

… (i)
Young’s modulus of the copper wire:

Dividing (i) by (ii), we get:

The ratio of Young’s modulus of steel to that of copper is 1.79 : 1.
Question 9.2:
Figure 9.11 shows the strain-stress curve for a given material. What are (a) Young’s modulus and (b) approximate yield strength for this material?

Answer:
(a) It is clear from the given graph that for stress 150 × 106 N/m2, strain is 0.002.
∴Young’s modulus, Y 

Hence, Young’s modulus for the given material is 7.5 ×1010 N/m2.
(b) The yield strength of a material is the maximum stress that the material can sustain without crossing the elastic limit.
It is clear from the given graph that the approximate yield strength of this material is 300 × 106 Nm/2 or 3 × 108 N/m2.
