Page No 243: - Chapter 9 - Mechanical Properties Of Solids - Ncert Solutions class 11 - Physics
Updated On 26-08-2025 By Lithanya
You can Download the Page No 243: - Chapter 9 - Mechanical Properties Of Solids - Ncert Solutions class 11 - Physics with expert answers for all chapters. Perfect for Tamil & English Medium students to revise the syllabus and score more marks in board exams. Download and share it with your friends
Share this to Friend on WhatsApp
Question 9.3:
The stress-strain graphs for materials A and B are shown in Fig. 9.12.

The graphs are drawn to the same scale.
(a) Which of the materials has the greater Young’s modulus?
(b) Which of the two is the stronger material?
Answer:
Answer: (a) A (b) A
(a) For a given strain, the stress for material A is more than it is for material B, as shown in the two graphs.
Young’s modulus 
For a given strain, if the stress for a material is more, then Young’s modulus is also greater for that material. Therefore, Young’s modulus for material A is greater than it is for material B.
(b) The amount of stress required for fracturing a material, corresponding to its fracture point, gives the strength of that material. Fracture point is the extreme point in a stress-strain curve. It can be observed that material A can withstand more strain than material B. Hence, material A is stronger than material B.
Question 9.4:
Read the following two statements below carefully and state, with reasons, if it is true or false.
(a) The Young’s modulus of rubber is greater than that of steel;
(b) The stretching of a coil is determined by its shear modulus.
Answer:
Answer: (a) False (b) True
(a) For a given stress, the strain in rubber is more than it is in steel.
Young’s modulus,
For a constant stress: 
Hence, Young’s modulus for rubber is less than it is for steel.
(b) Shear modulus is the ratio of the applied stress to the change in the shape of a body. The stretching of a coil changes its shape. Hence, shear modulus of elasticity is involved in this process.
Question 9.5:
Two wires of diameter 0.25 cm, one made of steel and the other made of brass are loaded as shown in Fig. 9.13. The unloaded length of steel wire is 1.5 m and that of brass wire is 1.0 m. Compute the elongations of the steel and the brass wires.

Answer:
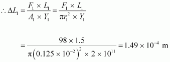
Elongation of the steel wire = 1.49 × 10–4 m
Elongation of the brass wire = 1.3 × 10–4 m
Diameter of the wires, d = 0.25 m
Hence, the radius of the wires,
= 0.125 cm
Length of the steel wire, L1 = 1.5 m
Length of the brass wire, L2 = 1.0 m
Total force exerted on the steel wire:
F1 = (4 + 6) g = 10 × 9.8 = 98 N
Young’s modulus for steel:

Where,
ΔL1 = Change in the length of the steel wire
A1 = Area of cross-section of the steel wire
Young’s modulus of steel, Y1 = 2.0 × 1011 Pa

Total force on the brass wire:
F2 = 6 × 9.8 = 58.8 N
Young’s modulus for brass:

Elongation of the steel wire = 1.49 × 10–4 m
Elongation of the brass wire = 1.3 × 10–4 m
